3统一场论
第一章,统一场论
第二章,揭秘万有引力的本质之谜
第三章,揭秘电荷、电磁场本质之谜
第四章,张祥前的数学理论
第五章,揭秘光的本质
第一章,统一场论


作者简介:
张祥前,中国安徽庐江县人,男,农民,初中水平,1967年出生。
1985年夏天接触地外文明,从他们那里获得了关于宇宙、时间、空间、质量、电荷、场、光速、动量、能量、力、运动······的本质奥秘。
获得了宇宙大统一方程,把宇宙4种力写在一个方程里, 获得了宇宙核心秘密、统一场论、宇宙空间信息场理论、光速飞碟秘密、人工场扫描技术等。
在世界上首次试验发现变化电磁场产生引力场。
现居住在庐江县同大镇二龙新街,以电焊和修自行车为生,业余时间研究、宣传统一场论理论和人工场扫描技术。
本人欢迎理工大学和研究机构共同合作。
作者电话和微信18714815159
目录:
前言。
一,宇宙的构成和统一场论基本原理
二,物质的定义
三,物理世界存在的虚假性
四,物理概念是怎么产生的
五,基本物理概念和导出物理概念
六,基本物理概念的分类
七,如何描述空间本身的运动
八,宇宙中物体和空间为什么要运动
九,螺旋运动规律
十,平行原理
十一,几何对称性等价于物理守恒性
十二,空间的连续和不连续
十三,运动的描述不能够脱离观测者
十四,空间为什么是三维的
十五,空间可以无限存储信息
十六,统一场论基本假设
十七,时间的物理定义
十八,时空同一化方程
十九,螺旋时空波动方程
二十,认识光速的本质
二十一,解释洛伦兹变换中的光速不变
二十二,宇宙中4大场的笼统定义
二十三,引力场和质量的定义方程
二十四,统一场论动量公式
二十五,统一场论动力学方程
二十六,解释牛顿三大定理
二十七,证明惯性质量等价于引力质量
二十八,解释万有引力的本质
二十九,引力场与时空波动方程
三十, 电荷与电场的定义方程
三十一,速度乘以质量随时间变化率就是电磁场力
三十二,核力场的定义方程
三十三,磁场的定义方程
三十四,推导麦克斯韦方程
三十五,随时间变化的引力场产生电场
三十六,匀速直线运动物体的引力场变化产生电场
三十七,运动电荷的磁场产生引力场
三十八,变化电磁场产生引力场的试验情况
三十九,统一场论能量方程
四十, 光子模型
附录: 统一场论的主要应用
前言
统一场论最早是爱因斯坦提出的,他花了40多年时间,希望把电磁场和引力场统一起来,但没有成功。
人类目前发现了自然界有弱力、电磁场力、万有引力、核力4种不同形式的力,其中电场力和磁场力人类已经统一,核力目前人类对此认识很不完善,弱力在主流科学家看来也被统一在电磁场力中。
本文认为电场力和磁场力不是同一种力,弱力是电磁场力和核力的合力,不是基本力。
本文论述的电场力、磁场力、万有引力、核力的统一,简单的讲,就是把电场力、磁场力、万有引力、核力写在一个数学公式,以及用数学公式写出电场、磁场、万有引力场【简称引力场】、核力场之间的关系。
由于统一场论涉及到了时间、空间、运动、力、光速、速度、质量、电荷、能量、动量······这些物理学的本质问题,所以统一场论的完成对人类具有重大意义,但也具有极大的难度。
注意:
本文只描述最简单、最基本的质点在真空中运动情况,不描述形状物体在介质中的运动情况。
文中出现的质点概念,是我们为了方便描述物体粒子的运动,不考虑物体粒子的形状和线长度,把物体理想化,看成一个点。如果要讨论质点的体积和几何长度在本文中是没有意义的,因为违反了我们的约定。
统一场论把质点的一切性质归咎于质点在空间中的运动或者质点周围空间本身的运动,讨论质点内部情况是没有意义的。
统一场论主要是描述物体【或者说质点】周围空间本身的运动,因而统一场论也可以叫空间运动学。
统一场论的基本假设是物体周围空间光速发散运动,然后以这个假设为基础,展开了对牛顿力学、相对论、麦克斯韦方程的解释、修改、扩展、 深度认识。
统一场论的核心思想是——物理世界的存在是虚假的,一切物理现象只是人的描述而已!
要认真领会这个思想,否则无法理解统一场论。
文章的“垂直原理”是理解的难点,阅读要注意这一点。
一,
宇宙的构成和统一场论基本原理
宇宙是由物体和它周围空间构成的,不存在第三种与之并存的东西。
一切物理现象、物理概念都是我们观察者对物体在空间中运动和物体周围空间运动的描述。
如果没有我们观察者的描述,宇宙真实存在的只剩下物体和空间,其余统统不存在,其余都是我们观察者对物体和空间描述的结果。
我们眼前看到的、感觉到的宇宙是虚假的,背后存在的真实宇宙——由物体和空间构成。
空间和物体不存在由一个更基本的东西构成,空间和物体是不能相互转化的, 宇宙是二元的,不是一元的。
人的大脑对宇宙中的物体和空间不同描述方式,诞生了几何世界和物理世界。
当我们对物体运动和空间运动进行描述诞生了物理世界;当我们对物体和空间的大小、数量、方向、结构进行描述,诞生了几何世界。
物理世界主要是人从自己感觉出发去加工,而几何世界主要是人从自己的理性出发,来进行加工。
物理世界我们观察者描述的,几何世界也是我们观察者描述出来的,脱离我们观察者,不存在物理世界,也不存在几何世界,唯一存在的就是物体和空间。
物理世界和几何世界的主要区别是:
物理主要描述的是运动,或者描述因为运动而产生的现象。
几何世界是人类大脑对宇宙中的物体和空间进行的初级、简单加工;物理是人类大脑对宇宙中的物体和空间进行的深度、复杂加工,特别是涉及到对运动的描述、加工。
相比较物理,几何描述的范围更广,几何世界更接近于宇宙的本源。
我们知道数学包含了几何,实际上数学也包含了物理,我们也可以认为物理只是数学中描述运动的那部分。
至于宇宙为什么是由物体和空间构成,物体和空间为什么不能够相互转化?
这些问题统一场论无法回答,统一场论只是认定了这个事实,并且以这个事实为理论基础,展开推理。
统一场论的主要任务是解释时间、位移、质量、电荷、引力场、电场、磁场、核力场、能量、光速、速度、动量、万有引力、电磁力、核力、运动······这些基本物理概念的本质,以及它们之间的关系。
二,物质的定义
不依赖我们观察者而客观存在的东西就是物质。
宇宙中只有物体和空间不依赖观察者而真实、独立地存在着,所以,物质由物体和空间组成。除了物体和空间,其余都是人的描述而已,脱离我们观察者统统不存在。
像我们眼前的一棵树、一条河是“物”,树的生长、河水的流动是“事”。
宇宙中,物体和空间是“物”,其余的像时间、位移、质量、电荷、场、能量、光速、速度、动量、力、温度、声音······都是“事”,是“物”相对于我们观测者运动时,经我们观察者描述出的一种性质。
这个基本原理否定了能量、时间是物质的一部分,否定了场是一种特殊的物质。
场要么是物质粒子运动引起的效应,要么是空间运动引起的效应。
统一场论认定场的本质就是运动变化的空间所引起的效应。
从统一场论基本原理出发,还可以推断暗物质、暗能量、上帝粒子、引力子、以太、弦论中的弦、膜······统统不存在,都是人们杜撰的。
宇宙空间是无限的,宇宙中的物体也是无限的。时间只是人对空间运动产生一种感觉的描述,时间是观察者描述出来的一个物理量。
只要有观察者存在,宇宙的时间就存在着。
宇宙没有开始也没有结束,宇宙的空间、年龄都是无穷大的,宇宙大爆炸理论只能适应宇宙的局部地区,说整个宇宙是大爆炸产生的,是错误的。
三,物理世界存在的虚假性
物理是我们观察者对物体和空间运动的感知,再经过大脑的描述而诞生的。
我们眼前看到的、感觉到的物理世界的存在是虚假的,脱离我们观察者是不存在的,真实存在的是背后的由物体和空间构成的几何世界。
几何世界更接近于宇宙的本源,物理世界主要是我们观察者的大脑对几何世界的描述、加工。
四,物理概念是怎么产生的
讨论物体和空间是怎么产生的、怎么起源的问题是没有意义的,因为物体和空间是构成宇宙大厦最基本的东西,物体和空间不可能由更基本的东西构成。
物体可以从一种形式转化为另一种形式,但是,不会无缘无故的产生、无缘无故的消失。
物体和空间本来就存在着,就像宇宙本来就存在的道理是一样的,讨论宇宙是怎么产生的、宇宙的起源问题也是没有意义的。
我们不能用一个更基本的东西去定义物体和空间,因为没有比物体和空间更基本的东西。但是,我们可以用物体和空间去定义其他物理概念。
物理上的一切现象、物理概念,本质上都是来自于物体和空间运动给人的感觉,物理概念是人大脑对这些感觉加工运算后的结果。
除物体和空间外,其余一切物理概念,像时间、场、质量、电荷、光速、力、动量、能量······都是物体在空间中运动,或者物体周围空间本身的运动,相对于我们观测者所表现出的一种性质,都是运动形成的,因而与位移有关。
可以认为时间、场、质量、电荷、光速、力、动量、能量······都是空间位移的函数,我们都可以用空间位移来表示。
在物理概念中,像声音、颜色、力、温度这些物理概念是物体在空间中运动触及到我们观测者,引起了我们观察者的感觉,我们观测者对这些感觉加以分析、概括而形成的。
但是,场和时间有点特殊,场是物体周围空间运动效应,时间是我们观测身体周围空间运动引起我们的感觉。
五,基本物理概念和导出物理概念
物理概念中有的是基本的,有些物理概念是这些基本概念导出的。比如时间和位移是基本的,速度是由时间和位移所导出的。
还有没有比位移和时间更基本的物理概念?
由于宇宙是由物体和空间这两个东西组成的,所以物体和空间是最基本的物理概念,是构成宇宙大厦的基本砖瓦,不能定义,而别的物理概念都可以用物体和空间来定义。
下面是表示这些物理概念从高级、基本的到低级的示意图。
物体【或者是质点】、空间→时间、位移、场→速度、光速→质量、电荷→动量→力→能量、功→温度、光、声音、颜色等等。
六,基本物理概念的分类
基本物理量分两大类,一类是标量,一类是矢量,其中标量就是可以用数字表示,而矢量可以用数字加方向表示。
标量可以分为正负标量和没有正负之分的纯粹正标量。比如正电荷就是正标量,负电荷就是负标量。
七,如何描述空间本身的运动
统一场论认为空间本身时刻在运动着,现代物理学都是描述物体在空间中运动,那我们如何定性定量地描述空间本身的运动?
我们把空间分割成许多小块,每一小块称之为空间几何点,简称几何点,或者叫空间点。空间点运动所走过的路线叫空间线。通过描述这些空间点的运动,就可以描述出空间本身的运动。
流体力学和波动方程的数学方法同样适用于描述空间本身的运动,实际上我们是把空间看成是类似流体的一种特殊介质。
而统一场论也认定了空间是客观存在的,空间的存在不依赖于我们观察者的感觉,如果没有人,空间照样存在,但是,没有人的话,时间是不存在的。
八,宇宙中物体和空间为什么要运动
几何世界是我们对宇宙【由物体和空间构成】简单、初步的描述,而物理是我们观察者对宇宙深度的描述,特别对运动的描述。任意一个物理现象,我们总可以找到相对应的一个几何状态。
在物理学中我们描述的运动状态,和几何中的垂直状态是等价的。如果没有我们人去描述,运动状态其实就是几何中的垂直状态。
注意,这里一部分是推理,因为运动状态总要有一个几何状态相对应,至于是几何上什么样状态对应着运动状态,这个就需要假设。
统一场论中用垂直原理解释物体和空间为什么要运动,垂直原理表述如下:
相对于我们观察者,宇宙中任何一个物体,在其周围空间中任意一个空间点上,最多可以作三条相互垂直的直线,这个叫空间的三维垂直状态。
处在这个垂直状态中的任意一个空间点,相对于我们观测者一定要运动,并且不断变化的运动方向和走过的轨迹又可以重新构成一个垂直状态。
以上可以叫垂直原理的定性描述,以后,我们还要求证垂直原理的定量描述。
方向不断变化的运动一定是曲线运动,圆周运动最多可以作两条相互垂直的切线。
而空间是三维的,沿其运动轨迹上的任意一点,一定可以作三条相互垂直的切线,所以一定会在圆周运动平面的垂直方向上再叠加直线运动。
合理的看法是空间点以圆柱状螺旋式【就是旋转运动和旋转平面垂直方向直线运动的合成】在运动。
物体存在于空间中,物体所在的位置会因为空间本身运动的影响而运动。
这个就是对宇宙中所有的物体为什么要运动的原因的解释。
我们认为物体运动的原因是因为受力,只是一种很肤浅的认识,宇宙中一切物体的运动背后原因,都是空间本身的运动造成的。反过来,我们就可以用空间运动来解释力的本质。
物体可以影响周围的空间,进而影响空间中存在的物体,这样物体就可以通过空间来相互作用,不需要什么特殊的介质来传递相互作用力。
我们要认识到,物体周围空间的运动,是物体引起的,物体存在于空间中,可以对周围空间产生影响,这种影响的程度可以用周围空间的运动程度来衡量。
物体存在于空间中,对周围空间造成影响,令周围空间产生运动,空间的运动势必影响存在于空间中的其他的物体的位置,令这个物体位置发生运动变化,或者具有运动变化的趋势。
物体之间的一切相互作用,万有引力、电场力、磁场力、核力本质上都是通过空间本身运动来进行的,物体通过运动变化的空间来相互传递作用力。
空间不依赖我们观察者而客观存在着。我们也可以把空间看成是一种特殊的介质。
究竟是物体造成了空间运动,还是空间运动造成了物体运动?这个只能说是互为因果,不分主次,物体和空间是紧密的联系在一起
我们要注意,对空间运动的描述和我们描述普通物体的运动有相同的地方,也有不同的地方。
统一场论所描述的空间运动都是指物体周围的空间,如果没有物体,单纯的描述空间的运动是没有意义的。
因为描述运动需要确定时间开始时刻和初始状态的空间位置,单纯的空间无法确定开始时刻和初始状态的空间位置。
确定时间开始时刻和初始状态的空间位置,需要依靠物体和我们观察者共同来确定。
空间本身的运动起源于物体,结束于物体,没有物体或者没有观察者,描述单纯的空间的运动是没有意义的。
垂直原理是宇宙的核心秘密之一,和螺旋运动密切相关,物理学中的法拉第电磁感应原理与垂直原理也有关。
数学中的矢量叉乘、旋度,与垂直原理也有关,但是,论证太复杂,这里省略。
九,螺旋运动规律
宇宙中的一切,小到电子、光子、质子,大到地球、月球、太阳、银河系······所有的自由存在于空间中的质点无一例外都是以螺旋式在运动,包括空间本身也是以圆柱状螺旋式在运动。
螺旋运动规律是宇宙核心规律之一,宇宙的一切看起来是周而复始的在运动,但不是封闭的。
数学中的矢量叉乘,与螺旋规律有关,但是,论证太复杂,这里省略。
十,平行原理
物理学中描述的平行状态对应数学中的正比性质。
两个物理量,如果可以用线段来表示,相互平行的话,一定成正比关系。
数学中的矢量点乘,与这个密切相关。
十一,几何对称性等价于物理守恒性
物理学中描述的守恒性等价于几何中的对称性。
一个守恒物理量,如果能够用线段来表示,在几何坐标上是线对称的,如果可以用面积来表示,在几何坐标上是平面对称的,如果可以用体积来表示,在几何坐标上是立体对称的。
十二,空间的连续和不连续
我们人类接触到的空间,对空间的认识,都认为空间是连续的。我们人类处理空间的数学体系,很多都默认空间是连续的。
但是,在某些情况下,空间可以表现为不连续。比如,物体以光速相对于我们观察者运动,沿运动方向的空间长度缩短为零,物体所在的空间相对于我们观察者可以表现为不连续。这个是量子力学中量子纠缠产生的根本原因。
这个与相对论、量子力学有关,但是,这是另外一个广阔的研究领域,要人类许多年、许多人努力才可以搞清楚的,这里不再详细论述。
十三,运动的描述不能够脱离观测者
相对论认为时间、位移、电场、磁场、力、质量等很多物理概念是相对的。对于相对运动的不同观测者来测量,可能有不同的数值,这“相对”两个字延伸一下,其是相对于观测者而言。
由于时间、位移、速度、力、质量、能量······这些物理概念来自于物体【相对于我们观测者】的运动或者物体周围空间本身的运动。
所以讲,脱离我们观测者、或者不指明那一个观测者,描述运动是没有意义的,时间、位移、速度、力、质量、能量······许多物理概念就失去了意义。
咋一看,以上看法好像是一种唯心主义,不过,唯心主义认为一旦没有观测者,没有人,一切都没有了,这个也是不对的。
正确的看法应该是这样的:
宇宙中所有的运动都是相对于我们观察者而言的,一旦没有了观察者,宇宙的一切都是不确定的,但不是不存在。
物理学中的运动状态从几何的角度看就是垂直状态,两个现象,背后其是同一个现象,是我们观测者从不同的角度【就是从物理角度和从几何角度】看,而出现了不同的结果。
运动状态就是我们人对物体在空间中的位置不断肯定、否定、肯定、否定、肯定、否定······的结果.
有人认为,在没有人类之前的宇宙一切照样在运动,所以运动的存在与人是没有关系的。
其实“没有人类之前”这句话是一个病句,没有了人类,哪来的没有人类之前。
“没有人”三个字,就表示已经把人排除了,你既然已经排除了人,就不能再用人来定义之前或者之后。
之前或者之后都是依靠人来定义的,没有我们人哪来的前后,上下左右,东西南北?
注意,物理学中描述的运动,空间、物体【或者叫质点】、观测者三个东西一个都不能少,否则,运动就失去了意义。
描述时间的变化有点特殊,观测者和物体实际是同一个东西——我们人的身体。
人类对运动的认识有一个发展的过程,牛顿力学认为描述一个物体的运动,必须要找一个认为是静止的参照性物体,作为参照物,运动的描述强调了在某一段时间里物体在空间中走过的路程。
牛顿力学认为时间和空间长度的测量与观测者的运动没有关系。
相对论继承了牛顿力学基本看法,但是相对论强调了不同的观测者,测量的空间、时间等其他物理量的数值可能是不同的。
相对论认为时间和空间长度的测量与观测者的运动速度有关系。低速时候,关系不明显,接近光速时候,特别明显。
统一场论认为描述运动必须要相对于一个确定的观测者,没有观测者、或者不指明那一个观测者,描述运动是没有意义的。
物理上的运动状态是我们人描述的,静止状态也是我们人描述的,如果没有我们人这个观察者,就不存在运动状态,也没有静止状态,宇宙只是剩下了物体和空间。
没有观测者、或者不指明那一个观测者,物体和空间是处于运动状态,还是静止状态,是不能确定的,讨论运动或者静止是没有意义的。
选择一个参照物描述运动有时候是不可靠的。
统一场论认为时间是观测者自己在空间中运动形成的,肯定与观察者的运动相关,也就是说,时间的测量与观察者有关,同一个事情所经历的时间,相互运动不同的观察者可能有不同的结果。
由于空间本身时刻在运动,因而空间位移与观测者的运动也有关,不同的观测者可能有不同的结果。
统一场论和相对论一样,强调了你的时间和空间,我的时间和空间,你我在相互运动的情况下,是不同的,不能混淆的。
十四,空间为什么是三维的
我们知道,沿空间中任意一点最多可以作三条相互垂直的有向直线,称为三维空间。为什么恰巧是三条,不是二条,也不是四条?
这个原因是空间运动造成的,空间如果是直线运动产生的是一维空间,空间如果是曲线运动产生的是二维空间,真实情况是空间在以圆柱状螺旋式运动,所以产生的是三维空间。
空间三维的原因是空间时刻以圆柱状螺旋式运动造成的。
由于空间的三个方向是平权的,没有哪一个方向是特殊的,空间运动的时候,在三个方向上都要运动,加上运动的连续性,造成了空间只能以圆柱状螺旋式运动。
或者说空间以圆柱状螺旋式运动形成了三维空间,这两种说法,是互为因果的。
我们所生活的空间是右手螺旋空间,也就是右手大拇指指向空间的直线运动方向,右手四指头环绕方向就是空间的环绕运动方向。
至于宇宙中有没有左手螺旋空间,从逻辑上分析是:假设存在了左手螺旋空间,会受到普遍的右手螺旋式空间的排斥,亿万年后,会被排斥到宇宙无穷远处,就是有,我们也是无法发现。
两个右手螺旋式空间【正面对我们观察者都是逆时针旋转】相互碰撞,旋转相互接触地方空间会减少,表现为相互吸引,而左手螺旋空间和右手螺旋空间相遇,会相互排斥。

在后面,我们还指出了正电荷和负电荷周围空间都是右手螺旋。
但是,这个问题仍然有待理论和实践去探讨。不排除人类未来可以人为的制造左手螺旋空间。
十五,空间可以无限存储信息
信息的定义:信息是物质【由物体和空间组成】的运动形式。
信息的量可以用可能性来表示,可能性多,就表示信息量大。
把我们认识的对象分为“事”和“物”,信息属于事。
宇宙中任何物体粒子储存或者携带的信息量总是有限的。
宇宙中任意一处空间可以储存整个宇宙以前的、现在的、未来的所有信息。换句话,任意一块空间可以无限存储信息。
或者说:宇宙任意一处有限空间区域里,都可以存储无穷多的信息。
背后的原因为:空间可以无限连续的,无限可分的。
还可以用逻辑证明:
物体周围空间以光速向四周发散运动,可以把这个物体的一切信息带到周围空间里。
由于光速运动的三维空间,沿运动方向的空间因为光速运动导致长度缩短为零,变成了二维空间。
所以,光速运动空间可以把物体所有的信息刹那间带到宇宙任意一处空间里,而不是大家所想的那样是以光速一步一步的传播。
宇宙只有二维空间和三维空间,不存在一维空间和四维及四维以上的空间。
由于二维空间是零体积,可以和宇宙任意一处三维空间保持着零距离,所以,二维空间中存储的信息,可以弥漫在宇宙任意一处三维空间里。
反过来,我们也可以说,宇宙任意一处三维空间隐含了整个宇宙以前的、现在的、未来的所有信息。
为什么也包含了未来的信息?
因为时间是我们观察者的感觉,如果没有我们观察者,不存在时间,宇宙中亿万年前和亿万年后,所有的信息都可以重叠在空间的一个点上。
宇宙除了时间、空间的无限性,还有包含的信息的无限性。
宇宙包含信息的无限性,可以用另外一句话描述:
宇宙包含了无限的可能性,宇宙的反复演化,要把一切的可能性给表现出来,而且是反复、无限次的给表现出来。
三维立体空间中发生的信息,可以保存在二维曲面空间中,严格的证明,可以用场论中的高斯定理。
二维曲面空间中发生的信息,可以保存在一维线性空间中,严格的证明,可以用场论中的斯托克斯定理。
我们需要注意:
信息的产生,需要物体粒子参与,把物体粒子完全的排除,单纯的空间,不能够制造信息,但可以传播、储存相信。信息需要观察者的描述,没有观察者,信息不存在。
十六,统一场论基本假设
宇宙中一个任何物体【包括我们观察者的身体】相对于我们观察者静止时候,周围空间都以物体为中心、以圆柱状螺旋式【均匀的旋转运动和旋转平面垂直方向匀速直线运动的合成】、以矢量光速度
【统一场论认为光速可以为矢量,用
(数量或模、或标量为c ,c不变)表示,矢量光速
的方向可以变化】向四周发散式运动。

上图的物体周围空间运动以圆柱状螺旋式向四周发散。
以上说宇宙大爆炸理论是错误的,宇宙没有开始,没有结束,宇宙本来就存在着。
现代的宇宙大爆炸理论强力证据是——空间相对于任意一个观察者在膨胀是怎么一回事?
空间膨胀的真正原因是宇宙中任意一个物体,包括任意一个观察者,周围空间都以物体为中心、以光速、以圆柱状螺旋式向发散运动,空间中存在的星球也离开我们观察者运动。
那月球、太阳为什么没有以光速远离我们观察者运动?
这里还有一个制约因素,就是与物体、星球一开始的最初运动状态有关。
比如地球,一开始就和我们观察者保持静止状态,月球一开始和我们保持接近于静止状态【和光速比起来】。只有非常遥远的星球,与我们观察者关系不大,远离我们的速度就很快。
十七,时间的物理定义
统一场论基本原理指出,一切物理概念都来自于我们观察者对运动的描述。
宇宙有两种最基本的运动形式,一种是物体在空间中运动,一种是物体周围空间本身的运动。
最基本的物理概念来自于物体在空间中运动或者物体周围空间的运动,给我们观察者的一种感觉。我们观察者对这些感觉加以分析、描述、概括,就形成了物理概念。
我们在生活中时刻感觉到时间在流逝,时间也可以认为某某物
体在空间中运动或者周围空间运动给我们人的一种感觉。
那到底是什么东西在运动给了我们人具有时间的感觉?
我们把一个人用宇宙飞船送到几百亿亿亿光年远的一个空间区域里,把这个人丢下来后,飞船立即飞回来。
这个空间区域里别的星球离得都非常非常的遥远,可以设想,这个人仍然有时间的感觉。
是什么东西在运动使这个人有了时间的感觉?这个情况下,仅有这个人的身体和周围空间。并且,人看自己的身体是静止的,唯一运动的就是这个人周围的空间。
正确合理的看法是:
时间是我们观测者对自己身体周围空间运动的一种感受。
结合以上的统一场论基本假设——宇宙中一切物体,周围空间都以光速、以圆柱状螺旋是发散运动,我们可以给出时间的物理定义:
宇宙中任何物体【包括我们观察者的身体】周围空间都以物体为中心、以圆柱状螺旋式、以矢量光速度
向四周发散运动,空间这种运动给我们观察者的感觉就是时间。
有人认为,在没有人类之前的宇宙照样有时间,所以,认为时间是人的感觉的观点是错误的。
其实“在没有人类之前”这句话是一个病句,没有了人,哪来的没有人类之前?
这个逻辑错误是:你第一步“在没有人”4个字中,已经排除了人,第二步又用人来定义“之前”,你既然已经把人排除了,就不能够再用人来定义。
没有我们人哪来的前后、先后、上下左右、东西南北?
“时间”恰恰是人对自己身体周围空间的运动给人的感觉的描述,而诞生出来的一个物理概念。
十八,时空同一化方程
以上的时间物理定义,同时又定义了光速。在统一场论中,时间、空间、光速三者是捆绑在一起的,光速反映了时空同一性,即时间的本质就是我们对光速运动空间描述出来的。
我们把光速扩展到矢量,矢量光速
【模为c】方向可以随时间t、光源速度、观察者运动速度而变化。
= 标量光速c乘以单位矢量N。
标量光速c不随时间t、不随观察者运动速度、光源运动速度而变化。
由以上的时间的物理定义,可以认为:
时间与观测者周围空间以光速移动的路程成正比。
借助空间点的概念,可以认为:
时间是我们观测者周围许多空间点以观察者为中心、以圆柱状螺旋式、以矢量光速
向四周发散运动给我们人的感觉。
一个空间点p,在零时刻从我们观察者所在的地方,以矢量光速
,经历的时间t,与移动的路程R成正比。
由此得出时空同一化方程:
![]()
,
,
分别是沿x轴、y轴、z轴的单位矢量。标量形式为:
![]()
这两个方程可以认为是时空同一化方程,对应于相对论时空相对性方程,反映了空间和时间是同一个起源。也可以说,时间可以用光速运动空间位移来表示。
我们所要注意的是,不光是时间,像质量、电荷、场、动量、力、能量······这些基本物理概念,以及一切物理概念,都是空间位移造成的,都是由空间位移组成的,追溯这些物理概念的本质,我们会发现最终都可以还原、分解为空间位移。
这也是物理学的本质——物理学只是描述运动的一门学科,而一切运动都是空间位移所构成的。
十九,三维圆柱状螺旋时空方程
以上提到:宇宙中所有的物体【或者叫质点】包括空间本身都是以圆柱状螺旋式在运动,螺旋运动规律是宇宙最基本的规律之一。
统一场论认为物体周围空间本身也是以圆柱状螺旋式在运动。
下面我们来建立统一场论中的三维圆柱状螺旋时空方程,来替代相对论中四维时空方程。
设想在某处空间区域里存在着一个质点o点,相对于我们观测者静止,我们以o点为原点,建立一个三维笛卡尔直角坐标系x,y,z。
在时刻t'= 0,我们考察物体o点周围空间中任意一个空间点p,其位置我们用
,
,
来表示,由o点指向p点的空间位移失径【简称位矢】我们用
来表示。
p点运动经历了一段时间t后,在t”时刻到达p点后来所在的位置x, y, z 。也就是p点在t”时刻的空间位置坐标为x,y,z,
由o点指向p点的空间位移失径【简称位矢】我们用
表示。
在圆柱状螺旋式运动中,可以分解为旋转运动矢量和直线运动矢量,注意,不能把位失和直线运动混淆,位失可以看成是旋转运动矢量和直线运动矢量的合成。
按照以上的垂直原理,
随着空间位置x, y, z和时间t变化而变化,所以有:
![]()
给出了R(t) 和(x, y, z)的具体关系,是以上的时空同一化方程:
![]()
这个方程有时候也可以简写为:
![]()
标量形式:
![]()
r是矢量
的数量。
以上方程在相对论中也出现过,相对论中被认为是四维时空距离,真实情况是时间的本质就是我们对光速运动的空间的描述。三维空间中任意一维以光速运动,我们就可以认为是时间。
空间的存在是基本的,时间不是基本的,没有人这个观察者,时间是不存在的,但是仍然存在着空间。
由于时间是我们观察者对光速运动空间的描述,时间的量等价于光速运动的空间位移量。
相对论显然没有认识到这一点,相对论不知道时间的本质,把时间看成和空间平权的另外一维,和三维空间并列为四维时空。
相对论没有认识到空间是基本的、真实存在的,脱离我们观察者仍然存在,时间是人描述出来的,时间的存在是虚假的,脱离我们观察者是不存在的。
在这方面的认识明显是相对论有缺陷。
如果p点在x、y平面上以角速度ω旋转运动,在z轴上以匀速度h直线运动,R在x、y平面上投影长度为R,则有:
![]()
![]()
![]()
以上也可以用以下矢量方程表示,
![]()
![]()
以上可以叫三维螺旋时空方程。
有时候这个方程可以简化为:
![]()
统一场论认为,宇宙的一切奥妙都是以上方程决定的,大到银河系、星球,小到电子、质子、中子的运动,以及物体为什么有质量、为什么有电荷,一直到人的思维等等······,都与这个方程有关。
三维螺旋时空方程中,旋转运动和直线运动有什么关系呢?
沿坐标x, y轴方向的空间旋转位移矢量X,
Y和沿坐标z轴方向的空间直线位移矢量Z应该满足以下叉乘关系:
X×Y = Z
Y×X = - Z
上式X,Y是旋转量,如果X×Y = Z表示右手螺旋关系,则Y×X = - Z则表示左手螺旋关系。
式X×Y = Z和Y×X= - Z反映了空间的旋转运动和直线运动之间的联系。
这个两个公式来源于前面的“平行原理”和“垂直原理”,。
“平行原理”指出,两个物理量如果可以用线段表示的,相互平行的话,一定是正比关系。
“垂直原理”指出了平面或者曲面的方向在其垂直方向上。
而圆周运动的方向在圆周平面垂直方向上,背后的原因也是“垂直原理”。
在式X×Y = Z中,可以把X×Y看成一个矢量面积,面积的大小等于X×Y的数量,方向和X、Y相互垂直,和Z相平行。
按照平行原理,矢量面积X×Y和Z成正比,当然,在某种情况下,也可以令比例常数为1,写成X×Y = Z 。
对于以上的三维螺旋时空方程,我们需要注意以下几点:
1,o点周围有许多个空间点,p点只是其中一个。式:
![]()
![]()
中,不表示o点周围只有一条
这样的矢量,而是有许多条类似这样的矢量呈辐射式均匀的【在o点相对于我们静止的情况下】分布在o点周围。
但是,彼此之间因为运动同步,没有运动方向是相反的,所以,单个质点周围空间中,不存在两条螺旋线在空间中相交。
2,螺旋线产生于质点,终结于质点,在没有质点的空间中,不会无缘无故的出现。
在物体o点相对于我们观察者静止的情况下,周围空间的运动是均匀,空间点走的螺旋线是连续的,不会无缘无故的中断。
我们还要认识到,坐标轴建立、选择是任意的,坐标轴只是我们描述空间的一种数学工具,不会影响螺旋线、运动空间的分布。
3,空间的圆柱状螺旋式运动是直线运动和旋转运动两种运动的叠加。也可以认为直线运动是以上提到的圆柱状螺旋式运动中R = 0的一种特例。
场的本质就是空间以圆柱状螺旋式运动的效应,在场论中,散度描述了空间的圆柱状螺旋式的直线运动那部分,旋度描述了旋转运动那部分。
4,圆柱状螺旋式方程中所描述的是:空间位矢
的一个端点在物体o点上不动,另一个端点p画圆圈又沿圆圈平面垂直方向直线运动,不能理解为只是p点一个点在画螺旋,而是空间位矢
在画螺旋线。
5,空间点p在零时刻,有可能是从过o点的一个平面出发,不完全是只是从o点出发。
6,螺旋方程
![]()
![]()
中,如果x和y等于零,空间点沿z轴以直线运动,不能认为这种情况下螺旋方程不适合,而要改为直线运动方程。
正确的理解应该是x和y趋近于零,p点圆柱状螺旋式运动的旋转半径趋近于零。而螺旋方程仍然适用。
当然,也存在了x或者y趋近于无穷大,z趋近于零的情况出现。
这些情况都可以包含在螺旋方程中,这样,给我们认识问题带来简化。
7,将螺旋运动方程对时间求导数,得到了了矢量光速,不能理解为只是将圆柱状螺旋式运动的直线部分对时间求导数而获得的,因为这样就出现超光速了。而是将位矢
【直线位移加旋转位移】对时间t求导数获得的。
8,一个空间点对应一条螺旋线,螺旋半径是0到无穷大之间,问具体数值是多少米是没有意义的,就像我们问一个电荷周围到底有多少条电场线,是没有意义的。
9,质点o相对于我们观察者静止的时候,周围空间的运动是均匀的,螺旋线的分布是均匀和连续的。
当o点相对于我们观察者运动的时候,预计周围空间运动的均匀性被打破。当o点运动速度达到光速,螺旋线预计将会出现中断。
二十,认识光速的本质
1,光速的本质
物理学的深入发展,光速概念的重要性越来越受到人们的重视,光速与时间、空间、场、质量、电荷、动量、力、能量······这些基本物理概念变得同等重要。
人们一提到光速不由自主的就想到了发光,实际上光速比发光现象更能够反映自然界的本质规律。
在统一场论中,把光速扩展为矢量,等于拓宽了人们对光速的认识。统一场论对于光速还有深度上的认识。
统一场论中,认定光速反映了时空同一性,即空间是基本的,空间的运动形成了时间,时间就是我们观察者对空间以光速运动的描述。
时间的物理定义把空间、时间、光速捆绑在一起,利用运动空间定义了时间的同时,又定义了光速。
时间和空间是同一个本源,是光速把二者联系起来。
认定光速是一个常量,空间和时间本来是同一个东西,意味着空间延长、时间相应的延长,空间缩短时间相应缩短,这就是时空同一性。
以上的方程
![]()
就是时空同一化方程。
原子中的电子生活在小空间范围内,运动速度极快,运动周期极短。而太阳系内,行星在大范围空间里运动,速度小,周期长,这一切的背后都是时空同一性的原因。
统一场论的时空同一性和相对论的时空相对性表面上看是矛盾的,但本质是一致的,时空同一性方程是基本的,从时空同一性可以导出相对论的时空相对性方程,稍后我们将给出推导过程。
2,解释与光速相关的相对论效应
我们首先来谈谈光速为什么是宇宙中最高速度的问题。
相对论中认为,光速是宇宙中最高的速度。相对论主要是根据数学公式做出的判断,因为物体的运动速度如果超过光速,有的物理量将出现虚数而失去意义。
其实从逻辑上推理光速是宇宙最高速度也很简单。
设想一架外星人的飞船,相对于我们静止时候长度是10米,当以某一个速度相对于我们运动的时候,我们发现飞船的长度在缩短,变成了5米,当运动速度达到光速的时候,缩短为零。
如果飞船以超光速相对于我们运动,按照变化的趋势来分析,难道会出现飞船比长度为零还要短的情况?——显然没有。
相对论认为,飞船内部放置一个钟,我们手里拿另一个时钟,这两个时钟在静止时候的走时是一样的。
当飞船相对于我们运动的时候,飞船内部的时钟走时相对于我们手里的一个时钟变慢了。
飞船内部观察者测量飞船内部同一个地点发生的两个事件的时间间隔,在飞船外面我们观察者看,这两个事件时间间隔延长了。
当飞船达到光速,在飞船外面的我们观察者看来,飞船长度缩短为零,飞船内部的时钟走时很慢,慢到凝固了,不走了。
一个相距我们50光年的一个外星球,外星人驾驶光速飞船到我们地球上,我们认为飞船需要50年达到我们地球。
但是,飞船里面的外星人认为,自己的零秒时间里走了无穷大的距离,所以,刹那间就到了我们地球。
如果有超光速,按照运动的趋势,难道存在了比不需要时间就走了无穷大距离还快的运动?——显然没有。
以上涉及到了相对论著名的尺缩、种慢。
一个物体长度为零,体积也为零,体积为零,按理是不存在的,相对论这个结论让很多人不能够接受。
有人认为,这个是一种观察者效应,原因就是观察者的观察造成的。
尺缩钟慢到底是真实发生了,还只是观察者效应?相比较,认为是观察者效应的人占大多数。
很多人认为:
尺缩种慢效应是相对于飞船外面观察者而言的,飞船实际尺寸没有改变。一个物体以接近光速运动时本身不会发生形变,但是它反射的光和电磁波发生了改变,在我们观察者看起来,就是这个物体发生了形变。
简单说吧,钟没有慢,尺也不会缩,一切都只是你的观察、测量原因。
但是,也有人认为:尺缩、种慢,并非你观测才发生,未观测就不尺缩了、不种慢了。只要有相对运动速度存在,尺缩钟慢就已经发生了。
有人采取折中方案,说:“尺缩效应”是观测效应,“钟慢效应”是实际效应。
统一场论认为尺缩和钟慢是捆绑在一起的,不存在一个是观察者效应,一个是真实效应。
统一场论认为尺缩、钟慢,既是真实的效应,又是观察者效应。
在统一场论中,真实效应和观察者效应没有绝对的区别,二者是统一的。
首先,你不能把观察者效应和真实效应完全对立起来,二者没有本质的区别。
你看到的宇宙为什么恰巧是那个样子——因为这个就是你大脑描述出来的,真实的宇宙只是存在了物体和空间,其余统统都是你的大脑的描述、运算加工而已。
在统一场论中,空间是运动形成的,空间是从空间从正电荷诞生出来的,以光速向周围空间发散运动,又以光速向负电荷收敛。
空间运动需要人的描述,你看到的空间不是静止的,而是以光速在运动,这种运动是相对于我们观察者才具有确定的意义。
不把空间的运动和观察者联系起来,谈论空间的运动是没有意义的。
空间的存在状态也就是运动状态,空间的三维垂直状态就是因为空间时刻以圆柱状螺旋式运动造成的。
几何上的空间三维垂直状态和物理上的运动状态是等价的。
空间的运动状态,就是我们人对空间三维垂直状态描述的结果。你看到的空间为什么是那个样子?正是你描述出来的那个样子。
你看到的红色,为什么是红色,因为那就是你的描述。如果没有我们人的描述,宇宙不存在红色。
你看到的一切景象,天空的湛蓝,花草的艳丽,都是大脑对获得的电磁波信号经过加工分析后的结果。
之所以是那个样子,正是你大脑运算后告诉你的。
你感觉到的热是什么,热是你大脑描述出来的,没有你大脑的描述,不存在热,热的本质是人对分子无规则运动程度的描述。
你感觉到的声音,也是来自于你的描述,有声音和没有声音的区别是空气中分子位置不一样。
声音其实不是一个真实东西,没有人的描述,声音其实是不存在的。
很多人将真实效应和观察者效应对立来看的——这个是普通人的思维。
但是,统一场论的核心思想就是物理世界的存在是虚假的,宇宙除了存在物体和空间不是我们人描述出来,其余一切物理现象,都只是我们人的描述而已。
在统一场论中,观察者效应和真实效应,没有绝对的区别,
我们说颜色、声音、热、都是人对自己感觉的描述,都是观察者效应,不是真实存在的东西,有人现在马马虎虎的能够理解。
但是,一旦说到运动状态也是人描述出来的【我们需要注意的是:静止状态也是我们描述出来的,没有我们观察者,宇宙中不存在运动状态,也不存在静止状态】,很多人的思维就不能适应了。
除了一种情况不是观察者效应【就是宇宙中存在了物体和空间】,宇宙中其余的一切都是观察者效应,都是我们观察者的描述出来的,包括运动状态和静止状态。
为什么物体和空间的存在不是观察者效应?
因为宇宙真实存在的就是物体和空间,其余都是我们对物体运动和空间运动的描述,其余都是观察者效应。
物体和空间的存在是宇宙一切现象能够诞生的基础,其余的一切都是人的描述,包括运动,静止,时间,质量,电荷,能量,力······
有人会问:
有些观察者效应和真实发生是一致的,有些观察者效应与真实发生的是不一致的,怎么区分这两种情况?
——不存在不一致的情况。
你看到的,就是真实发生的,真实发生的,就必须要有一个观察者去描述,没有观察者去描述的所谓真实的情况,谈论是没有意义的。
宇宙每时每刻都发生很多事情,我们在讨论这些事情的时候,总是要和某一个观察者联系起来,简单的说,就是相对于某某怎么样怎么样。
你不说是相对于某某,忽略了是相对于哪一个观察者,往往得出似是而非、模棱两可的结果。
这个是相对论经常被人质疑、诟病的地方,只能说相对论是一个不彻底的理论,彻底的理论应该是统一场论。
按照统一场论,宇宙存在物体和空间,与我们观察者无关,这个是客观事实,其余都是人的描述,其余都是主观的,都属于观察者效应。
在统一场论中,尺缩钟慢效应可以得到具体的应用。
统一场论认为,当物体以光速运动的时候,沿运动方向长度缩短为零,就不占用我们的空间,零体积的物体,就有可能穿墙而过,并且墙和物体都完好无损。
统一场论对于运动导致空间缩短,还可以用垂直原理来解释。由于物理上的运动状态和几何的垂直状态是等价的,当物体以每一个速度沿x轴匀速直线运动的时候,导致x轴发生倾斜,当运动速度达到光速,旋转了90度——导致沿运动方向的空间在x轴上的投影长度为零。
在具体应用中,统一场论认为物体具有质量和电荷是因为物体周围空间以光速发散运动,发散的条数和物体的质量成正比。
当用变化的电磁场产生反引力场,对物体照射,可以减少物体的周围空间光速运动的条数,当物体周围空间光速运动的条数减少到零,质量就变成了零,就会突然以光速相对于我们运动起来【这个就是外星人光速飞碟飞行原理】。
当质量接近于零,虽然不会以光速运动,但是,处于准激发状态,可以穿墙而过,并且,对墙和物体丝毫没有损伤。
如果尺缩钟慢是纯粹的观察者效应,以上统一场论预言的刚体穿墙而过,并且二者都完好无损,显然是不可能的。
有人认为物体质量为零,物体内部的分子相互之间没有作用力,就像尘埃那样散了。
这种情况下,一个观察者认为这个物体的质量为零,另一个观察者认为质量和平时一样的。
这个和相对于任何一个观察者,质量都是零,是有区别的。
相对论认为,一个飞船以光速相对于我们运动,我们发现飞船沿运动方向的长度为零,而导致体积为零;
飞船内部观察者认为飞船从开始运动到结束运动是没有过程的,这一次旅行,无论多远刹那间就到了。
这个让我们难以接受。
统一场论认为时间是观察者周围空间光速发散运动形成的,当你以光速运动的时候,你已经追上空间,追上了空间的光速运动,你已经追上了时间。
所以,在我们看来你就没有空间了,你的时间不走了,凝固了。
这样我们就容易理解了。
相对论认为,物体以光速运动,运动质量变得无穷大了,无穷大的质量我们是难以接受的。
统一场论认为,物体的质量反映出物体周围在一定立体角度内光速运动空间位移的条数。
当这个物体以接近光速运动时候,这个立体角由于相对论性的空间收缩性,将变得接近为零,而条数按理不会随速度变化,所以,导致质量趋于无穷大。
由于质量是我们观察者观察出的物理量,质量反映了物体周围空间的运动程度,质量的本质是空间运动效应,所以,物体的质量为无穷大或者为零,我们就容易理解了。
在统一场论中,一切物理概念、物理量都是我们观察者描述出来的。
速度也不例外,只有相对于观察者我的运动速度才是真正有意义的速度,只有相对于我们观察者的光速才是光速不变、光速在宇宙中最大。
对于运动速度和由运动形成的事件,事件的开始和结束与观察者我有关联,才会有明确的结果。对于与观察者我没有关联的速度和事件,谈论结果是没有意义的。
比如,我们在地球上转动自己的身体,一秒钟转一圈,相对于几百亿年的一个外星球,相对于我们观察者,星球旋转的线速度肯定超光速。
但是,这种超光速与我们观察者没有因果关联,所以,这种超光速是没有意义的。
比如,我们观察者站在地球上,看到两个飞船都以0.9倍光速在运动,一个向东,一个向西,在相对运动。
我们观察者认为无论那个飞船相对于我们观察者的运动速度没有超光速。但是,在我看来,两个飞船相对之间的运动速度是1.8倍光速。但是,这种超光速不是相对于我们观察者超光速。
相对于我们观察者是没有超光速的。
在统一场论中,有一种情况下,光速可以小于每秒30万公里。
当光源相对于我们观察者以速度V匀速直线运动的时候,沿V的垂直方向光速,的确是小于每秒30万公里。
3,用时间的物理定义解释相对论中的光速不变。
相对论以光速不变为基础而建立起来的,但是,相对论没有解释、也没有能力解释光速为什么不变,相对论只是把光速不变作为事实依据,展开了对牛顿力学的扩展、修改。
相对论中光速不变是指:
光源静止或者以速度v运动时候,光源发出的光的速度c相对于我们观察者始终不变。
如果你知道时间的物理定义,立即就知道了光速为什么不变。
以上的时间物理定义为:
宇宙中任何物体【包括我们观察者的身体】周围空间以物体为中心、以光速c向四周发散运动,而光是静止于空间中被空间这种运动带着向外跑的,空间这种运动给我们观察者的感觉就是时间。
这样说来,时间的量t与光速c运动空间的位移量r成正比,也就是:
r = c t
光速
是一个分式,从小学数学中我们知道,分式就是分子除以分母。
光速中的分子——空间位移r和光速中的分母——时间t其实是一个东西,是我们人为的把一个东西叫成两个名字。
比如,张飞,又名张翼德,虽然是两个名字,但是,指的是同一个人。
所以,光速的分子——空间位移r如果有什么变动,光速的分母——时间t一定会同步变化,因为r和t本来是同一个东西,是我们观察者叫成了两个名字。
这样光速的数值
始终不变,这个就是光速不变的原因。
比如说,我们看到了张飞胖了,体重增加了5斤,我们马上就可以断定张翼德体重肯定的增加5斤,因为两个名字指的是同一个人。
张飞和张翼德的体重在增加,但是,张飞的体重和张翼德的体重的比值始终不变。
当光源相对于我们以速度v运动的时候,引起了光速的分子——空间位移r的变化,一定会引起光速的分母——时间t同步变化。
当光源相对于我们以任意一种方式运动的时候,引起了光速的分子——空间位移r以某种方式变化,一定会引起光速的分母——时间t按照那种方式同步变化。
从以上可以推理出,光源相对于我们观察者无论是匀速还是加速运动,光速始终不变。
这个表明广义相对论基本正确,因为广义相对论基本原理就是相互加速运动的观察者观察同一束光速度是一样的。
二十一,解释洛伦兹变换中的光速不变
1,对洛伦兹变换中光速不变的解释
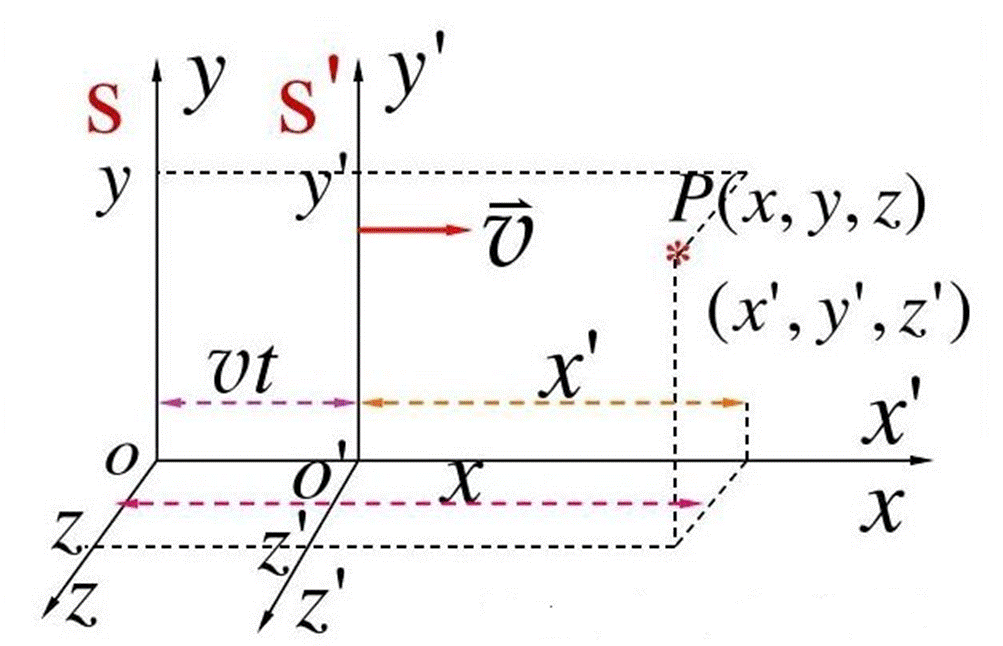
设有两个直角惯性坐标系s系和s'系,任意一事件发生的地点【我们称为考察点p】、时间,在s系、s'系中的时空坐标分别用(x,y,z,t)、(x',y',z',t')来表示。
本文重点讨论洛伦兹变换的最简情况,就是考察点p静止在s’系里。
在下图中,

x轴和x'相互重合,在t'= t = 0时刻,s系的原点o 点【s系里的观察者就站在o点上】和s’的原点o’【s’系里观察者就站在o’点上】点相互重合在一起。
随后,o’点相对于o点以匀速度v沿x轴正方向直线运动。
设想在某时刻,发生了一次爆炸事件,在s'系中测量,发生在p点的爆炸事件的空间、时间坐标分别为x',y’,z’和 t'。
也就是爆炸事件发生在t'时刻,发生的地点p在x'轴上的坐标离原点o'距离为x'处。
并且,p点相对于s’系是静止的。
在s系中测量,发生在p点的爆炸事件的空间、时间的坐标分别为x, y,z和t。
也就是爆炸发生在t时刻,其坐标在x轴上离原点o距离为x处。并且,p点相对于s系是以速率v在运动的。
我们来求出发生在p点的一次爆炸事件时间、空间坐标,在两个惯性参考系中坐标值之间的关系。
在上图中,可以直观的看出:
![]()
![]()
按照伽利略相对性原理的思想,时间、空间长度的测量与观测者的运动速度v没有关系,上式就可以成立,并且t = t’。
但是,相对论认为时间、空间长度的测量与观测者的相互运动速度v有关,空间长度随着速度v的增大而收缩、变小。
在s系里观察者看来,式
中的
要缩短,要乘以一个相对论因子
,等式才可以成立,所以,有式:
![]()
所以有:
![]()
在s’系里观察者看来,式
中的x要乘以一个相对论因子
,才能够成立,所以有式:
![]()
所以有:
![]()
由于s系相对于s'系是匀速直线运动,因而我们应该合理的认为
和
,x 和
之间的关系应该是线性的,满足于简单的正比关系。
相对论的相对性原理认为:物理定律在所有的惯性参考系中都是相同或者平权的,不同惯性系的物理方程形式应该是相同的。
所以 (1)、 (2)式可以用一个相同的常数k。
对于k的值,洛伦兹变换用的就是光速不变求出的。
设想由原点o、o'在重合的零时刻发出一束沿x轴正方向前进的光,光速为c。
设该光束的波前【或者叫光子、空间点】p点的时空坐标,在s系里为(x,y,z,t),在s’系里为(x',y',z',t')。
以该光束的波前【或者叫光子、空间点】p点达到后来所在的位置这一事件作为我们考察的对象。
如果光速c在s系和s'系是相同的,就有
![]()
![]()
将(1),(2),(3), (4)式联合起来,可以导出:
![]()
![]()
将上边两式相乘可以导出:
![]()
![]()
![]()
![]()
再一次导出:
![]()

将上式带入(1)式和(2)式,可以得出:


由(5)式和(6)式,消去x’,得出:

由(5)式和(6)式,消去x,得出:

式:

![]()
![]()

这就是洛伦兹正变换。
式:

![]()
![]()

就是洛伦兹逆变换。
注意,洛伦兹变换中y和z是不变的。
下面我们用时间物理定义,来解释(3)式和(4)式中的光速不变。
按照前面的时间物理定义。
s’系里的观察着认为,会有一个空间点p【或者叫波前、光子】在零时刻离开o'点【或者o点,因为在零时刻o点和o’点相互重合】,以光速c沿着x’轴【或者x轴,因为x轴和x’轴相互重合】正方向匀速直线运动,经过一段时间t’后,走了x’这么远的路程,到达p点后来所在的位置。所以有 ![]()
s系里的观察着认为,会有一个空间点p在零时刻离开o点【或者o’点,因为在零时刻o点和o’点相互重合】,沿着x轴【或者x’轴,因为x轴和x’轴相互重合】正方向匀速直线运动,经过一段时间t后,走了x这么远的路程,到达p点后来所在的位置。
以上的时间物理定义告诉我们:时间与观测者周围空间中一个空间点p走过的距离成正比。
所以,s系中的时间t比s’系中的时间t’,等于s系中的空间点走过的路程x比s’系中空间点走过的路程x’,也就是:
![]()
将上式作一个变换,
![]()
由于x/ t 和 x'/t' 都是位移比时间,量纲是速率,并且
,所以
![]()
所以,以上说明了一定会有一个与时间密切相关的特殊速率【我们用c来表示】,在相互运动的两个观测者看来,c的值是相等的。
以上的时间物理定义只要是正确的,就一定能够证明(3)式和(4)式中的光速c是相等的。
接下来我们用统一场论思想对以上洛伦兹变换做出解读。
(1),洛伦兹变换继承了伽利略变换中s系看s’系以速度v运动,s’系看s系是以速度- v运动。
同一个事情发生的时间、空间位置,在两个惯性系中,在伽利略变换中被认为是不变的,这个被洛伦兹变换否定了。
洛伦兹变换继承了伽利略变换一部分思想,否定了一部分,不是完全的否定。
(2),统一场论认为一切运动形式、物理现象都是我们观察者描述出来的,剔除了我们观察者,谈论物理现象、运动状态是没有意义的。
我们总是默认s’系和s系其中必然有一个惯性参照系是观察者我所在的参考系。
(3),s’系和s系只有我看你是运动的,你看我是运动的,是平权的,不是绝对平权的。
我们总是默认s’系和s系其中只能有一个是我所在的参考系,我所在的参考系是优越的,一切物理量、物理概念都是我描述出来的,只有相对于我才有确定的物理意义,而且,我只有一个。
(4),统一场论认为,描述运动需要存在4个基本条件,一个是空间,一个是时间,包括时间的开始时刻、过程、结束时刻。
一个是观察者,一个是被描述的对象,也就是物体或者由物体运动变化所形成的事件。
4个条件,缺少一个,描述运动是没有意义的。
特殊情况下,被描述的对象和观察者可以是同一个东西,就是描述我们观察者自身的运动,但是,这种描述只是在特殊情况下才有意义,在一般情况下也是没有意义的。
在统一场论中,空间是运动的,描述空间的运动,必须是物体周围的空间,没有物体,或者不指明哪一个物体,描述单纯的空间运动是没有意义的。
所以,在洛伦兹变换中,我们必须:
要明确观察者,确定被描述的对象【由物体或者物体运动形成的事件构成】,确定事件的开始和结束时刻和经历的时间,确定事件发生所在的空间位置,否则可能引起混乱。
(5),s’系和s系虽然不能说哪一个绝对在运动,绝对运动是没有意义的。但是,相对运动【就是相对于某一个确定的观察者在运动】是有意义的。
我们习惯上是把被描述的对象p点【物体或者由物体运动变化所形成的事件】静止所在的系叫s’系,又叫动系,s系叫静系。
有人认为必须要引入第三个系【常用地球表面所在的参考系】对s系和s’进行比较,才可以确定谁是静系,谁是动系。
把我【我是唯一的】引入参考系,则不需要第三个系来比较,也可以区分静系和动系。
(6),当我这个观察者被默认站在s系里【也就是我相对于被观测的对象p点是运动的】,将用到洛伦兹正变换;
当我被默认站在s’系里【也就是我相对于被观测的对象p点是静止的】,将用到洛伦兹逆变换。
2,解释一个参考系为什么光速不变
我们还有一个问题:就一个参考系来讲,为什么光速也是常数?
这一点可以这样理解,时间完全的等价于观测者周围空间的运动,也就是:
运动的空间 = 时间。
为了在物理上使“运动的空间 = 时间”成立时量纲不发生混乱,我们需要在时间前面乘上不随时间、运动空间变化的一个常数——光速,
运动的空间 = 光速乘以时间。
从数学的角度看,一个变量对自身求导数,结果是1或者常数。
3,在空间点运动方向与速度v垂直的情况下光速不变的解释
可能有人认为光线可以向任意方向跑啊,那空间岂不是也向任意方向跑吗?描述任何运动需有参照物,空间的运动又是参照谁呢?
在统一场论中,物体周围的空间的确是以物体为中心,向四周发散运动。
空间的运动是参照物体的,我们描述空间的运动都是指某个物体周围空间是如何运动的。
特殊情况下,没有物体,我们描述空间的运动是相对我们人的身体。
没有任何物体的情况下,单纯的描述空间的运动是没有意义的。
下面我们再来考虑在空间点运动方向与观察对象的运动速度v垂直的情况下,对光速不变的解释。
在下图中,x轴和x'相互重合,在t'= t = 0时刻,二维直角坐标系s系的原点o 点【s系里的观察者就站在o点上】和二维直角坐标系s’的原点o’【s’系里观察者就站在o’点上】点相互重合在一起。
随后,o’点相对于o点以匀速度V【标量为v】沿x轴正方向直线运动。

设想有一个质点o’一直静止于二维直角坐标系s’系的原点o’上 。
在零时刻,s’系观察者由时间的物理定义,发现一个空间点p从o’点出发,在时间t’内,以光速c沿y’方向走了o’p这么远的路程【所以有
】,走到了p点后来所在的地方,就是图中所标的p点。
空间点p在零时刻出发运动到p点这个事情,在s系的观察者看来,p点在时间t内走了op这么远的路程。
op的路程虽然比o’p远,但是,所有的时间t应该比时间t’要长。
因为,按照时间的物理定义,时间与空间点p相对于观察者走过的路程成正比。所以,有式:
![]()
将上式变形得到:
![]()
由
得到:
![]()
上式就解释了光速为什么会相对于两个相互运动观测者的数值是不变的。
我们再来求出t和t’满足的关系,看看和相对论是否一致。由
![]()
![]()
可以得到:

可以得到微分形式:

相对论认为,发生了某一个事情,观察者相对于这个事情发生的地点是静止的,也就是事件开始时刻和结束时刻都在同一个地点,测量这个事情所经历的时间是固有时间,也就是以上的t’。
相对论中固有时间最短,这个结果和相对论的结果是一样的。
我们将洛伦兹逆变换

两边对时间t’求导数,得到:

注意,式中的x’不随时间t’变化,因为x’和t’的量都是s’系里观测的,而在s’里,p点的位置x’是静止不动的。
我们将洛伦兹正变换

两边对时间t求导数,得到:



所以,有:

注意,式中的x是考察点p点在s系里的位置,随时间t变化,所以有
![]()
以及

因为x和t的量都是s系里观测的,而在s里,考察点p点的位置x是以速度v在运动。
这个结果和以上是一样的。
我们还有一个疑问:
空间点p在y轴上所走过的路程是s系里和s’系里是否相等?
这一切狭义相对论用火车钻山洞的假想试验给出了证明:
设想有一个山洞,外面停一辆火车,车厢高度与洞顶高度相等,现在使火车匀速的开进山洞,运动的火车的高度是否发生变化?
假设火车的高度由于运动变小了,这样,站在地面的观测者认为火车由于运动,高度变小,山洞由于不运动,高度不变,火车肯定顺利的开进山洞。
但是,在火车里面的观测者认为,火车是静止的,因而火车高度不变,山洞是运动的,山洞的高度会降低,火车无法通过山洞,这就发生了矛盾。
但是,火车能否开进山洞是一个确定的物理事实,不应该与观测者的选择有关,唯一合理的观点是:
匀速直线运动不能够使运动垂直方向上的空间长度缩短,同样的道理,也不能伸长,结果是不变。
可能人们还有一个疑问?观测者周围空间有许多空间点,为什么一个空间点的运动就可以表示时间?
这个应该这样理解,时间反映了空间运动的一种性质,我们观测者通过描述空间中许多空间点的其中一个,就可以把空间具有时间这种变化的性质给表现来,这个也表明了,时间不能够脱离观测者而独立存在。
4,光源运动速度
和矢量光速
之间的关系
我们前面引入了矢量光速概念,但没有深入的讨论。
光速能不能看成矢量,相对论中没有深入讨论,按照相对论,光速与光源的运动速度无关,与观测者的选择无关,与时间无关,与空间位置无关,纯粹一个常数。
所以,相对论倾向认为光速不能够看成矢量,换句话,在相对论中讨论光速的矢量性是没有意义的。
光速是常数最早来自于麦克斯韦电磁波波动方程,波动方程中的光速以常数出现。
统一场论提出了与之不同的观点,认为光速在某些情况下可以表现为矢量,其方向和光源的运动速度有着函数关系。
统一场论为了区分,把矢量光速叫光速度,用
表示,
的大小【也就是模c】不变,但是方向可以变化。
光速速率叫光速率,又叫标量光速,用c表示,c不变。
矢量光速
在直角坐标x、y、z轴的分量
,
,
,大小可以变化,由于标量光速不变,三个分量的平方和始终是光速的平方。
在统一场论中,光源的运动速度
和矢量光速
之间的关系,非常重要,下面我们来探讨这种关系。
我们先考虑一种特殊的情况。
我们令矢量光速
和和光源运动速度
之间的角度为
我们先来大致判断一下
的标量v和
的取值范围。
从相对论中我们知道,由光速不变可以推导出:
能够引起和
垂直方向的光速的变化,但是,不能引起
平行方向光速的变化。
统一场论中,
的变化只是方向在变化,数量不变。
随着
的增大,
的方向逐渐偏离了原来位置。偏离的角度β稍微大于0时,对应着v 稍微大于 0。偏离的角度β= 90度,对应着的
的数量v 等于光速 c
所以,β值应该是在90度和0度之间,
的数量v的值在0和光速c之间【包含了光速】。
在下图中:

二维直角坐标系s系的原点o和s’系的原点o’在0时刻重合在一起,并且x轴和x’轴也重合在一起。
后来,相互以匀速度
【标量为v】沿着x轴正方向匀速直线运动。
一个质点o一直静止在s’系的原点o’上,现在,s系和s’系的观察者共同来考察一个空间点p 。
p点在零时刻,从o点出发,沿y’轴以光速运动。
如果我们把光看成是光子,这里的质点o是光源,点p就是一个光子,如果把光看成是波,这里的点p就是波前。
在统一场论中,把光看成是激发电子随空间一同运动,即使没有激发电子,或者没有光子,质点o不发光,也不是光源,就是一个普通物体,但周围的空间仍然以矢量光速
向外运动。
后一种情况下,p点就可以看成是空间点,也就是p点表示为o点周围的一小块空间。
s’系的观察者认为p点在零时刻从这个质点o出发,经过了时间t’,走到了p点后来所在的位置上,以矢量光速
走了
这么远的路程。
s系的观察者认为p点在零时刻开始,在时间t内以矢量光速
【数量为c】走了op = ct这么远的路程 。
在上图中可以看出:
![]()
消除t,可以得到:
![]()
由于
和
之间的角度为
,有:
![]()
由上式可以导出

这个实际上就是相对论因子产生的原因。
对以上分析,可以得出如下看法:
在
的数量v趋近于零的时候,
和矢量光速
垂直这种初始状态下,以后当
的数量v逐渐增大的时候,会导致
逐渐偏离原来的位置,当v趋近于光速度
的数量c的时候,
偏离了90度。
光源运动速度
可以引起
垂直方向矢量光速
的方向发生偏转,还可以用前面的垂直原理的逆定理来解释。
垂直原理告诉我们,空间的垂直状态【90度角】可以导致运动。
其逆定理是:运动又可以导致空间的垂直状态发生倾斜,运动速度达到光速的时候,垂直状态彻底消失【躺平】。
以上公式
或者
可以看成是对垂直原理的一种定量分析。
垂直原理的实质是空间的角度和运动速度有等价性和互补性。
以上只是分析了特殊情况下,矢量光速
和光源运动速度
【标量为v】之间的关系。
揭示它们之间普遍关系,需要矢量光速
在惯性系s’和s系之间变换。
在s’里,矢量光速
的三个分量为:
,
,
,
在s里,矢量光速
的三个分量为:
,
,
,
利用相对论的速度正变换【我们以上已经证明洛伦兹变换是正确的,而相对论速度变换是对洛伦兹变换求时间导数得到的,因而相对论速度变换是可以用的】可以导出
的三个分量和
的三个分量满足的关系为:



由以上可以导出:
![]()





![]()
由此导出矢量光速
和
满足以下关系:
![]()
和
方向不一样,但是,数量是一样的。
以上没有完全讲明白
和
之间的关系,这问题仍然有待人们去探索。
5,推导出相对论的时空间隔不变性
现在设想有两个观察者分别在s系【时空坐标为(x,y,z,t)】和s’系【时空坐标为(x’, y’, z’, t’)】里,s系相对于s’系以速度V沿着x轴正方向运动。
设想在时刻t = t’= 0,s系和s’系的原点o点和o’点重合在一起。一个空间点p在时刻0开始,从o点和o’点出发,经过一段时间到达p点现在所处的位置。
将式
![]()
对自身点乘,结果为:
![]()
r是矢量
的数量。r反映了在s系里的观察者测量空间点p相对于原点的移动距离。
以上方程在相对论中也出现过,相对论中被认为是四维时空距离。
同样的道理,可以导出在s’系里,观察者测量p点相对于o’点的移动距离:
![]()
由
可以导出:
![]()
由
可以导出:
![]()
由以上方程可以得出时空间隔在相对匀速直线运动的两个惯性系里是不变的。
统一场论认为时空间隔的不变性,本质是时空同一化,时间就是光速运动空间形成的。
6,正确的解释双生子佯缪
按照狭义相对论,运动的时钟走得慢。
于是有人设想,双生子甲和乙一出生时候,甲就乘高速飞船到远方宇宙空间去旅行,双生子乙则留在地球上,经过若干年飞船返回地球。
按地球上的乙看来,甲处于运动之中,甲的生命过程进行得缓慢,则甲比乙年轻;
而按飞船上的甲看来,乙是运动的,则乙比较年轻。
重返相遇的比较,结果应该是唯一的,似乎狭义相对论遇到无法克服的难题。
对双生子佯谬的解释,无论的拥护相对论或是反对相对论的人,解释都比较混乱。
按照统一场论的看法,描述和计算一个运动过程,需要确定观察者,确定开始时刻和地点,以及结束的时刻和地点。
不确定观察者、开始和结束的时刻、地点,讨论运动的结果是没有意义的。
双生子问题中,甲和乙开始分手,到最后甲乙碰面的地点,都在地球上,所以,地球可以作为参考点。
由于甲相对于地球是运动的,所以,甲比乙年轻。乙相对于地球是静止的,乙的时间是固有时。
如果甲和乙诞生于太空中,拥抱在一起,后来,二人分手,没有地球作为参考点?我们怎么判断?
这个时候,需要确定两个人,是哪一个开始加速运动,离开对方的。
这个其实涉及到了一个关于运动的根本问题——物体的运动状态的改变【也就是加速度】是有原因的,物体不会无缘无故的改变运动速度【包括从速度为零的静止状态加速到某一个速度】。也就是本来拥抱在一起的甲、乙二人,不会无缘无故的分开。
设想在某一个时刻,是甲开始加速运动离开了乙,甲转了一圈回来,二人相遇,则甲年轻。
如果在太空中,甲乙二人拥抱在一起,后来相互踹对方一脚,二人都以相同的力,完全相同的踹法,彼此离开,在宇宙空间转一圈后相遇,谁更年轻?
这种情况下,甲乙二人应该是同样的年轻。
二十二,宇宙中4大场的笼统定义
在数学中场的定义为:
若空间中(或空间的某一部分),每一个点对应一个确定的量,则称这样的空间为场。
当空间中每一点所对应的量为数量时,则称该空间为数量场,当空间中每一个点所对应的量是一个矢量时,则称这样的空间为矢量场。
从数学中场的定义可知,场是用空间的点函数来表示的,反之,若给出空间中某一个点的函数,就给出了一个场。
在前面我们做了大量的分析,把万有引力场(简称引力场)、电场、磁场、核力场与空间本身的运动联系了起来,认定物理上4大场【引力场、电场、磁场、核力场】合在一起就是以圆柱状螺旋式运动的空间。
在统一场论中,认为弱力场不是基本的场,是电场、磁场和核力场的合场。而电场与磁场不是同一个场,因为电场和磁场方向有时不一样,不能相互叠加,也不能直接发生力的作用。
而同种场可以相互叠加或者相减,也可以发生相互作用力。
由此,我们在这里把物理4大场给出一个统一的定义,在后面,我们再分别给出引力场、核力场、电场、磁场精确的定义。
物理4大场的统一定义为:
相对于我们观察者,质点o周围空间Ψ中任意一个空间点p,由o点指向p点的位移矢量【简称位矢】
,随空间位置(x,y,z)变化或者随时间t变化,这样的空间Ψ称为物理场,也可以叫物理力场。
从数学上来讲,场是物体周围空间位移矢量对空间位置的导数或者是对时间的导数,其实就是空间相对于我们观察者的运动程度。
在实际操作中,我们就是用物体粒子周围运动空间的运动程度,来定义物理上4大场的。
这个也符合我们前面的统一场论基本原理—— 一切物理现象都是质点在空间中(或者质点周围空间本身)相对于我们观察者运动形成的。
简单的说,场就是运动的空间,是空间本身在运动,场所有的效应,都是空间的运动效应。
场对物体的影响,对物体施加力,使物体运动,都是通过改变【或者将要改变、具有改变的趋势】物体所在的空间位置来实现的。
从以上的定义可以知道,物理4大场都是矢量场,不同的场只是我们观察者从不同的角度、不同的方式观察圆柱状螺旋运动空间而具有不同的运动程度、运动形式。
注意,场是质点周围空间相对于我们观测者运动所表现出的一种性质,空间、质点、观测者、运动四个基本条件一个都不能少【特殊情况下,质点和观察者可以是同一个东西】,否则,场就失去了意义。
我们还要认识到,场具有三种形式。
我们描述物体在空间中相对于我们观察者运动,测量物体在空间中的位移,然后对时间求导数,也就是和时间去比较,得出速度,速度就表示物体在空间中的运动程度,而加速度表示运动速度的变化程度。
由于场的实质是【相对于我们观察者】物体周围运动空间的位移量关于空间位置或者时间的导数。
为了描述场,我们第一步指出物体周围空间的位移量。第二步,我们寻找一个像时间那样可以作为参考的运动量来和空间位移量相比较。
当然,我们可以说场是:
在某一个时间间隔里,物体周围空间某一个地方的空间位移量是多少,
但是,很多情况下,我们可以说场是:
在某一个静止的立体范围内空间的位移量是多少,
在某一个运动的立体范围内空间的位移量是多少,
在某一个静止的曲面上空间的位移量是多少,
在某一个运动的曲面上空间的位移量是多少,
在某一个静止的曲线上空间的位移量是多少。
在某一个运动的曲线上空间的位移量是多少。
在某一个时间间隔里,某一个空间范围内空间位移量是多少。
这样,场有三种形式:
场在三维立体上的分布。
场在二维曲面上的分布。
场在一维曲线上的分布。
借助场论高斯定理,我们可以用散度来描述场在立体上的分布和曲面上的分布之间的关系。
借助场论的斯托克斯定理,可以用旋度描述场在曲面上的分布和场在曲线上的分布之间的关系。
借助场论的梯度定理,可以描述出标量场【或者叫数量场】中物理量在某一个曲线上的分布。
场的本质是以圆柱状螺旋式运动的空间,圆柱状螺旋式运动是旋转运动和旋转平面垂直方向直线运动的合成,而散度描述了空间的直线运动部分,旋度描述了空间的旋转运动部分。
二十三,引力场和质量的定义方程
在统一场论中,物体o点的质量m,表示了o点周围4π立体角度内以光速、以圆柱状螺旋式发散运动空间位移
的条数。
o点在周围产生的引力场
,表示了穿过包围o点的高斯球面s上,以光速发散运动的空间位移的条数。
1,引力场的定义方程:
设想有一个质点o相对于我们观测者静止,周围空间中任意一个空间点p,在零时刻以矢量光速度
从o点出发,以圆柱状螺旋式沿某一个方向运动,经历了时间t,在t'时刻到达p后来所在的位置。
我们让点o处于直角坐标系xyz的原点,由o点指向p点的矢径
由前面的时空同一化方程
![]()
给出:
是空间位置x,y,z和时间t的函数,随x,y,z,t的变化而变化,记为:
注意,p点在空间中走过的轨迹是圆柱状螺旋式,我们也可以认为是矢径
的一个端点o不动,另一个端点p运动变化,使得
在空间中划过一条圆柱状螺旋式轨迹。
我们以
中
的标量长度r为半径,作高斯球面s = 4πr²【在普遍情况下,高斯球面可以不是一个正球面,但是,球面是连续的、不能有破洞】包围质点o。
我们把高斯球面s = 4πr²均匀的分割成许多小块,我们选择p点所在的一小块矢量面元
【
方向我们用
来表示,其数量为曲面
】,我们考察发现
上有Δn条类似于p的空间点的位移矢量R垂直的穿过。
注意:高斯球面s的半径也可以不等于
的标量长度,我们设定是相等的,好处是使考察点p恰巧落在高斯球面s上。
这样,o点在空间点p处产生的引力场
【数量为A】:
![]()
上式给出的引力场定义简单明了,但过于粗糙,不能把引力场矢量性质表现出来,也没有把以矢量光速运动的空间位移
带进式子中去。
为了达到以上目的,我们主要考察p点周围情况。
p点的矢量位移
垂直的穿过
,普遍情况下,矢量位移
可以不是垂直的穿过
,可以和矢量面元
的法方向
有一个夹角θ。
在o点相对于我们观察者静止,o点周围空间的运动是均匀的,没有那个方向是特殊的,而且,我们使用的高斯球面是一个正圆球面,在这些条件限制下,矢量
才是垂直穿过矢量面元 ![]()
这样,o点在周围空间p点处产生的引力场
【矢量形式】可以写为:
![]()
式中G是万有引力常数,k是比例常数。注意,引力场
和由o点指向空间点p的位矢
方向相反。
设想o点周围有n条类似于
的空间位移矢量,以o点为中心,呈辐射状分布,但是,任意两条的方向都不一样。
而n乘以
即
的物理意义表示n条空间位移的方向都是一样的,叠加在一起。
所以,当以上的
为矢量,只有Δn=1的情况下,才具有物理意义。但是,我们要注意n 乘以r【r是
的数量】中,当n是大于1的整数仍然具有物理意义。
所以有式:
![]()
上式中为什么用
的单位矢量
,而不是直接用矢量
?
是因为我们在高斯球面s上只能考察矢量
的方向和条数,而不能考察矢量R的长度,所以
这个式子其实是没有物理意义的。
如果R不完全是垂直穿过矢量面元
【数量为ΔS】,和矢量面元的法方向N具有一个角度θ,当空间点的位移
的条数n设定为1的时候,以上方程也可以用矢量点乘公式来表示。
![]()
上式中A是引力场
的数量。
引力场
是由大小和方向余弦两个量决定的。
大小是指光速运动空间位移
在高斯球面s上分布的密度(
)。
或者
表示了含两个自变量的函数,随Δn和Δs变化而变化。
方向余弦是
的法方向
和
的夹角θ的余弦,也就是cosθ。
方向余弦cosθ是只含一个自变量的函数,这个函数随θ变化而变化。
式
![]()
和
![]()
这两个式子的物理意义告诉我们:
高斯球面s=4πr²其中一小块矢量面元
上,垂直穿过空间矢量位移
【
】的密度反映了该处的引力场强度。
我们将式
![]()
中的ΔS用立体角Ω和高斯球面的半径r来表示,也就是
![]()

上图中,我们将高斯球面中的一小块矢量面元ΔS用dS表示。则:
![]()
2,质量的定义方程
质量的本质是什么?质量和引力场是什么关系?
由于质量的概念起源于牛顿力学,我们把以上统一场论引力场几何形式的定义方程
![]()
和牛顿力学引力场方程
相比较,可以得出物体o点的质量定义方程应该是:
![]()
微分式为:
![]()
上式k是常数。由于空间可以无限分割,所以,以上的n的微分,也就是dn 有意义的。
对上式右边环绕积分,积分区域在0和4π之间,则:

上式的物理意义是:
o点的质量m表示周围立体角4π内分布有n条空间位移矢量![]()
以上
![]()
是质量的几何形式的微分定义方程。
在很多种情况下,我们将n设定为1,可以得到质量的简化定义方程:
![]()
我们一旦知道了质量的本质,就可以对牛顿力学中的引力场方程
做出解释。
按照牛顿力学,我们以地球【用o点表示,我们观察者站在地球上】为例,地球上空一个卫星【用p点表示】,由o点指向p点的位置矢量【间称位矢】用
【数量为r】表示。
则o点在p点处产生的引力场
,
表示在以半径为r的高斯球面s = 4πr²上,分割了一小块矢量面元
,
上穿过了1条矢量
,并且,
和
方向相反。
的数量ΔS的倒数反映了引力场的大小,
的反方向就是引力场的方向。
我们需要注意的是,统一场论的引力场方程,反映了某一个瞬间,或者是某一个时刻的情况。
对统一场论的静止引力场
![]()
求旋度,在Δn和Ω是常数【也就是质量为常数】的情况下,仅R/ r³是变量,结果为零:
![]()
对静止引力场
![]()
求散度,在(
)是常数的情况下,仅
是变量,结果也为零:
![]()
但在r趋近于零【也可以说空间点p无限趋近于o点】,且o点可以看成一个无限小的球体的情况下,式子出现了0/0的情况,利用狄拉克δ函数,可以得到:
![]()
G是万有引力常数,
是物体o点的密度。
统一场论给出的引力场定义方程的旋度和散度,和牛顿力学给出的引力场的散度、旋度是一致的。
4,从质量定义方程导出相对论质速关系
相对论用动量守恒和相对论速度变换公式,可以导出相对论质速关系——质量随物体运动速度增大而增大。
相对论又用质速关系推导出相对论质能方程,所以,质速关系很重要。
下面我们用质量的定义方程直接导出质速关系。
设想一个质量为m’的质点o,一直静止在s’系的坐标原点o’上。
s系相对于s’系以匀速度
【标量为v】沿x轴正方向运动,并且s系的x轴和s’系的x’轴相互重合。
在s系里的观察者看来o点的质量为m,我们用以上的质量几何定义方程 m∮dΩ =k ∮dn来求出
和m、m’之间满足的数学关系。
当o点运动的时候,我们应该合理的认为,不会引起空间点矢量位移
的条数n的变化,只是有可能引起立体角度Ω的变化。所以,我们只要求出运动速度
和Ω之间满足的关系,也就是Ω的相对论变换,就可以求出m’和m之间的关系。
立体角Ω的定义为:
在以o点为球心、半径r =
1的球面s上,分割一小块Δs,以Δs为底面,以o点为顶点,构成一个圆锥体h,则Δs等于圆锥体h的立体角。

锥体h的立体角Ω大小为椎体的底面积ΔS与球的半径r平方之比,当ΔS无限的小,变成了dS,有:
dΩ = dS/r²
当r = 1时候,上式变成了dΩ = dS
以上是用椎体的底面积来定义立体角,现在我们把以上的立体角定义推广,用椎体的体积来定义立体角。
在以o点为球心、半径r =
1的球面s上,分割一小块ΔS,以ΔS为底面,以o点为顶点,构成一个圆锥体h,则圆椎体h的体积
ΔV等于圆锥体h的立体角。
圆锥体h的立体角Ω大小为椎体的体积ΔV与球的半径r立方之比,当ΔV无限的小,变成了dV,有:
![]()
当r = 1时候,上式变成了
![]()
有了以上的准备知识,我们来考虑以上的o点在s’系里,静止时候质量
m’ = k∮dn/∮dΩ’
我们用一个半径为1的单位球体积,在其中分割一个顶点在球心o点上、体积为dv’的圆锥体,替代上式中的dΩ’,则:
m’ = k∮dn/∮dv’
相应的在s系里,o点以速度
【标量为v】匀速直线运动的时候,质量
m = k∮dn/∮dv
注意,n在s’系和s系里是一样的,也就是o点的运动速度
不能改变几何点位移的条数n。
我们只要求出dv’= dx’dy’dz’和dv = dx dy dz之间的关系,就可以求出m和 m’之间的关系。
根据相对论中的最简版洛伦兹正变换【因为我们默认了观察者我在s系里,质点o相对于我在运动】:

![]()
![]()
在最简版洛伦兹变换中,由于考察点o点在s’系中的位置x’是静止的,在s系里是以速度
运动。
我们只有把s系里的时间t取一个固定的时刻,x和x’相互比较才有意义,所以,dt/dx=0,得出微分式:

![]()
![]()
由此得出:
m’ = k∮dn/∮dv’ = k ∮dn/∮dx’dy’dz’
m = k ∮dn/∮dv = k∮dn/∮dx dy dz
由∮dx’dy’dz’
= ∮dy dz dx/√(1- v²/c²)
可以导出:

当o点以速度
运动的时候,质量增大了一个相对论因子
,这个结果和相对论是一致的。
5,引力场的洛伦兹变换
有了引力场和质量的定义方程,质速关系方程,加上相对论的洛伦兹变换,就可以导出引力场在两个相互匀速直线运动的参考系s’系和s系之间的变换。
设想惯性参考系s’相对于s系以速度
【标量为v】沿x轴匀速直线运动运动。在s’系里,一个静止的很薄的矩形面板,带有质量,在薄板上面产生引力场![]()
我们让薄板垂直于x轴,
那么在s系里的观察者看来,引力场
沿x轴的分量
似乎不会变化。
因为前面的引力场定义方程告诉我们,引力场强度与穿过曲面上空间位移的条数成正比,也就是与密度成正比。这里的薄板的面积没有变化,条数不会变化,密度也就没有变化。
但是,薄板的质量增大了一个相对论因子![]()
质量的增大,从几何角度看,应该是空间位移矢量方向与考察的立体角之间的对应变化,所以:

为s’系里引力场
的沿x’轴上的分量。
当我们把薄板和x轴平行,

薄板要收缩一个相对论因子,加上质量增大一个相对论因子。注意,图中倾斜的引力场线在x轴上的投影的分量正反相互抵消为零。所以,我们得到了:


和
是s’系里引力场
在y’轴和z’轴上两个分量。
由前面的引力场定义方程,我们得到:
![]()
![]()
![]()
由此导出:



由此得到:



由此得到:

令θ为矢径
【标量为
】和速度
【标量为v】之间的夹角,
可以表示为极坐标形式:

式中G为万有引力常数,
,
,
是矢径
(标量为r)的单位矢量。
这个结果和电场的相对论变换形式是一样,这个表明,高斯定理适用于静止引力场,也适用于匀速直线运动的引力场。
在s’系里有,
![]()
在s系里有:
![]()
其中G是万有引力常数,s’系里的
,质量为m’, s系里的dV=dx dy dz,质量为m。
由以上的引力场变换,可以证明这两个高斯公式都能够成立,高斯定理不仅适用于静止物体的静止引力场,同样适用于运动物体的引力场。
注意,式中γdx = dx’是从洛伦兹正变换x’ =γ(x-v t)求微分得到的。
二十四,统一场论动量公式
1, 统一场论的静止动量公式
统一场论的基本假设为:
宇宙中任意一个物体o点,相对于我们观察者静止的时候,周围空间总是以物体为中心、以矢量光速、以圆柱状螺旋式向外发散运动。
设想有一个质点o相对于我们观测者静止,周围空间中任意一个空间点p,在零时刻从o点出发,以矢量光速度
沿某一个方向运动,经历了时间t’,在t”时刻到达p点后来所在的位置。
设想质点o周围空间总共有n条空间点的矢量位移,我们用
表示其中一条的位移量。
我们在o点周围取个适当的立体角Ω,里面恰巧包含一条空间矢量位移 ![]()
![]()
可以反映出o点周围局部地区的空间的运动量。式中的k是比例常数,Ω是一个任意大小的立体角。
将
中
对时间t’求偏导数,可以反映出o点局部地区的运动空间随时间t’的运动程度。
![]()
注意
。利用前面质量的定义方程
,
可以把上式改写为统一场论的静止动量公式:
![]()
这里的动量定义方程中把质量用m’表示,是为了区分将要出现的运动质量m ,
是为了区分将要出现的运动矢量光速 ![]()
o点的静止动量反映了o点静止时候周围空间的运动程度。
我们要认识到,o点的静止动量是周围的空间点p的运动位移量
随立体角度Ω、时间t’的变化的变化程度,不随o点和p点之间距离的变化而变化。
所以,我们测量一个物体o点静止动量的大小,不需要考虑o点与周围空间中一个考察点p之间距离,这一点和引力场不一样。当o点运动的时候,运动动量这种情况也是类似的。
2, 运动动量公式
设想s’系相对于s系以匀速度
【标量为v】沿x轴正方向直线运动。
以上的o点相对于s’系观察者静止,具有静止动量 ![]()
前面我们分析过,当o点相对于s系里的观察者以速度V运动的时候,静止动量的两部分——质量和矢量光速都要发生变化。
在s’系里,o点的静止质量为m’,在s系里变成了运动质量m。
在s’系里,o点周围空间点p相对于s’系里观察者的矢量光速为
;在s系里,o点周围空间点p相对于s系里观察者的矢量光速为 ![]()
和
方向不一样,但模是一样的,都是c,也就是:
![]()
详细的证明在第二十二节《解释洛伦兹变换中的光速不变》中的第4小节《光源运动速度
和矢量光速
之间的关系》。
在s系里,运动动量是不是就可以写成
?
明显不行,因为
是质点o点周围空间点p相对于s系中观察者的速度,不是相对于质点o点的运动速度。
动量反映的是质点o点周围空间的运动情况,而不是反映观察者周围空间的运动情况。
在s’系里,观察者和质点o点是相对静止的,p点相对于质点o点的速度和相对于观察者的速度没有区别。
但是,在s系里是有区别的,因为在s系里质点o点是在以速度
相对观察者沿x轴直线运动。
在s系里,
是p点相对于s系里观察者的速度,
也是p点相对于质点o点的运动速度【我们用
表示】和
的叠加,也就是 ![]()
所以,在s系里,p点相对于o点的运动速度应该是:
![]()
所以,运动动量可以写为:
![]()
相对论力学、牛顿力学认为物体周围空间的光速运动不存在,也就是
,所以,牛顿力学、相对论的动量方程是
![]()
也可以说,相对论、牛顿力学的动量
,只是统一场论动量公式
中
变化的时候的一个变化量。
统一场论动量公式只是把牛顿、相对论动量公式扩展了,包含了物体静止时候周围空间的矢量光速运动,没有完全否定相对论、牛顿力学动量公式。
3,物体运动时候的动量和静止时候的数量是相等的
将运动动量公式
两边对自身点乘,结果为:
![]()
![]()
我们应该合理地认为,物体静止时候的静止动量
的数量
,和运动时候的运动动量
的数量
应该是相等的,不同的只是方向。所以,应该有:
![]()
由于光速不变、光速最大的限制,当物体运动速度
很大的时候,接近于光速
,
和
之间的夹角θ也会趋向于零,如果不趋向于零,就有超光速出现。严格的证明如下:
s’系相对于s系以匀速度
沿x轴【或者x’轴,x’轴和x轴相互重合】直线运动。
在s’系里,令物体o点周围空间点p的矢量光速为
,
为
在x’轴上的分量,θ’为
和x’轴【或者
,因为
和x’轴平行】之间的夹角。所以有:
![]()
为
的标量,c是
的标量。
在s系里,有:
![]()
θ为s系里
和
之间的夹角。
是
在x轴上的分量
的标量。
根据洛伦兹速度变换的逆变换公式:

加以上的
,
,可以导出:

从上式可以看出,当速度
的数量v接近于光速c 的时候,cosθ接近于1,也就是θ接近于零。
当运动速度
和光速
很接近,我们忽略了
的数量v和
的数量c之间的差别,
和
之间的夹角θ也趋向于零,结果有:
v≈c的时候,
【我们如果选择
,结果会出现虚数而没有意义】,结果有:
![]()
注意,上式中我们虽然忽略了c和v之间的差,但保留了c²和v²之间的差。
比如9和8之间的差是1,而9²和8²之间的差是17,我们只能忽略小的值,保留大的值,这样才合理。
对上式两边除以标量光速c,得:

这个式子大家是不是很眼熟?不错,它就是大名鼎鼎的相对论质速公式。
原来物体以速度
运动的时候,质量m的增大,是以减少本来的周围运动空间的光速
为代价的,动量总的数量仍然是守恒的。
这个就是把动量守恒范围扩大到不同的参考系中,也就是相互运动的观察者,测量同一个物体的动量,总的数量是不变的。
这个哲学思想是-----观察者只能观察运动状态,而不能改变运动状态。
我们再用
的分量形式来分析式
![]()
的三个分量是
,
,
,令
的数量为u,则:
![]()
![]()
![]()
情况是相同的。
对
两边同时乘以标量光速的平方可以得到相对论的能量方程:

后面还有详细的论证。
二十五,统一场论动力学方程
1,力的笼统定义
力是物体【或者质点】在空间中相对于我们观察者运动【或者物体周围空间本身运动】的运动状态,在某一个空间范围【或者某一个时间内】的改变程度。
从数学上讲,力也就是物体的运动量对空间位置、对时间的导数。
力分惯性力和相互作用力。
惯性力是物体的运动量在对空间位置求导数,这个空间位置是立体角。所以,受力物体与施力物体、与观察者的距离无关。惯性力相对简单。
相互作用力是物体的运动量在对空间位置求导数,这个空间位置可以是体积、曲面、位矢。
所以,受力物体与施力物体、与观察者的距离有关。
牛顿力学中有惯性力和万有引力。
物体的惯性力与受力物体和施力物体距离无关。而万有引力属于相互作用力,与距离有关。
在电磁学中,洛伦兹力属于惯性力,而安培力属于相互作用力。
这一节我们还要把牛顿力学的惯性力推广到电磁力和核力。
2,把宇宙4种惯性力写在一个方程里
我们用质点o周围空间的某一个空间点p的运动程度来描述o点的动量
。o点的动量与o点到p点之间的距离无关,与惯性力有相似的性质。
我们沿用牛顿力学的思想——惯性力是动量对时间的导数,可以认为普遍的动量
随时间t发生变化的变化程度,就是宇宙4种惯性力。
![]()
为加质量力,
是加速度力。
在统一场论中,
被认为是电场力,
被认为是磁场力,
牛顿第二定理中的惯性力,也等价于万有引力,
是核力。
这项力在统一场论中认为是核力,理由有:
原子弹爆炸的能量可以用质能方程
计算,因而沿核力方向计算位移和核力的乘积的积分应该有
相同和相似的形式,而
具备了这种条件。
统一场论动力学方程应该包含核力,因为统一场论认为一切相互作用力都来自于质点在空间中的运动状态的改变程度,或者质点周围空间的运动状态的改变程度。
如果认为相对论中质能方程
,可以反映出核力【
】是物体粒子沿核力方向移动了距离
做的功,由功和能量的定义方程,则有:

上式的r是位移矢量
的数量,积分范围在0和r之间,
![]()
由前面的时空同一化方程
【微分式
】得到:
![]()
加质量力
造成的运动也可以称为加质量运动。加质量运动是一种不连续的运动,光在照射到玻璃上被反射回来速度的变化是不需要时间的,是不连续的,光是一种加质量运动。
加质量运动就是一个物体质量随时间变化需要时间,当质量变化到零时候,可以从某一个速度突然的达到光速,随着这个物体一同运动的观测者发现这个运动过程不需要时间的,自己从某一个地方突然的消失,在另一个地方突然的出现。
质量的变化有一种不连续特性。量子力学中电磁波辐射的能量不连续的原因是:
光子在激发成光子之前需要一个固定的使质量变成零的能量。小于这个能量,光子无法激发起来以光速运动,光子的能量到达了激发条件,就以光速运动走了,再加能量,就加不上了。
如果认定空间是静止的,也就是
,那么式
![]()
中的
,这样又回到了相对论和经典力学的动力学公式:
![]()
惯性力和相互作用力相关,有共同点,也有区别,两种力,我们都可以用受力质点o周围空间一个空间点p的运动情况来考察质点o受力情况。
但是,惯性力与o点到p点的距离r无关,而相互作用力与r相关。
惯性力是我们用立体角去考察,而立体角与距离长短无关。而相互作用力,是我们用三维椎体或者高斯曲面去考察,三维椎体或者高斯曲面都与距离有关。
二十六,解释牛顿三大定理
牛顿力学包括三大定理和万有引力定理。
牛顿力学三大定理表述为:
1,任何物体【或者质点】试图保持匀速直线运动状态或者静止状态,直到有外力改变为止。
2,物体受到的作用力使物体加速运动时,所产生的加速度与受到的作用力成正比,与这个物体的质量成反比,且加速度方向和作用力方向一致。
3,一个物体对另一个物体施加作用力总是受到另一个物体大小相等方向相反的反作用力。
牛顿力学按照现代的看法应该是相对于某一个观察者的情况下才成立。
牛顿把物体的质量m和运动速度
定义为动量
,
仔细的分析一下,牛顿力学核心就是动量概念,动量概念最早就是来自于牛顿力学,我们现在用动量概念把牛顿三大定理重新表述一遍。
1,相对于某一个观察者,空间中任何一个质量为m的质点都试图保持一个确定的动量
,
为这个质点沿某一个方向直线运动的速度,也包括速度为零【动量肯定同时为零】的静止状态。
2,质点受到了外力的作用,会使动量发生变化,动量
随时间t的变化率就是外力
![]()
3,质点的动量是守恒的,在一个孤立的系统中,质点相互作用时,一个质点获得的动量总是另一个质点失去的,而总的动量是不变的。
在牛顿力学中认为质量m是不变量,而相对论认为质量是可以变化的,但是,相对论继承了牛顿力学的其他一些看法。
相对论的动量公式和牛顿力学形式是一样的,只是相对论中质量m可以是变量。
统一场论揭开质量的本质,因而可以彻底解释牛顿力学。
按照统一场论的看法,牛顿三大定理可以进一步理解为:
1,相对于我们观察者,任何一个物体周围空间本身都以矢量光速
向外发散运动,在立体角4π范围内,光速运动空间位移的条数n,就是这个物体的质量
![]()
所以,物体静止时候具有一个静止动量
, 当我们试图让这个物体运动,必须要施加一个动量【质量m乘以速度
】,使
发生变化。
2,力是改变物体周围空间以矢量光速
发散运动、以速度
运动的运动状态的原因,也就是使动量发生变化的原因,所以,我们用动量对时间求导数,来表示力。
力定义为:力是物体在空间中运动【或者物体周围空间本身运动】的运动状态在某一个空间范围【或者某一个时间内】的改变量。
3,动量是物体在空间中的运动量(
)和物体周围空间本身运动(
)的运动量的合成
,并且是一个守恒量,相互运动的观察者测量到的动量的形式不一样,而总的动量的数量不变,与观察者的观察无关。
二十七,证明惯性质量等价于引力质量
牛顿力学认为,惯性质量反映了物体不容易被加速的程度,而引力质量反映了加速别的物体的能力。
在以上的质量为m的o点,相对于我们观察者静止情况下,相距r远的地方如果有一个质量为m’的p点,受到o点的引力
的作用,会使p点有一个指向o点加速度
,并且
![]()
![]()
牛顿在没有给出解释的情况下,把式
中的惯性质量
和式
中的引力质量
等同起来,便有了下式:
![]()
r是
的数量,
是
的单位矢量。这个就是人们常说的惯性质量等价于引力质量。
如果我们证明了p点指向o点加速度
,等于o点在p点处产生的引力场,就可以证明惯性质量等价于引力质量。
下面我们来给出证明。
前面给出的引力场方程
![]()
中
,为了便于分析问题,我们令光速运动空间位移矢量
的条数n为1,由o点指向p点的位矢,我们就用
来表示,则引力场方程为:
![]()
以上方程中,我们令
的数量r不变,只是方向在变化,这样,引力场
变成了光速运动空间位移
的方向和立体角Ω之间的对应变化。
Ω是包围o点的高斯球面s= 4πr²上的一个立体角,在r取固定值的情况下,Ω的大小正比于
因为
的数量r虽然不变,但是,
是矢量,可以通过垂直于
径向的两个方向的变化,在高斯球面s上画出一个面积来,而这个面积正比于Ω。因为Ω的大小等于高斯球面s = 4πr²(r设定是1或者是常数)上的一块面积。
所以,有:
![]()
由于G , k ,c, r都是常数,合并常数,得到:
![]()
将R和t²对t两次求导数得:
![]()
由于牛顿力学是人类历史上最早诞生的力学体系,所以,以上常数可以设定为1,就如同牛顿第二定理比例常数可以设定为1。所以有:
![]()
证明完毕。
二十八,解释万有引力的本质
万有引力给人类最困惑的问题是,宇宙中任意两个物体之间的引力是怎么产生的,又是怎么把引力传给对方的。
其实,万有引力的本质很简单。
举一个例子,一个汽车迎面向你驶来,驾驶员觉得自己是静止的,肯定认为你是迎面向汽车运动。如果一个汽车加速的向你驶来,驾驶员觉得自己是静止的,肯定认为你在加速地向汽车运动。
究竟是你在运动还是汽车在运动,不重要,关键的、有意义的是汽车和人之间的空间在变化。
万有引力本质就是质点之间的空间运动变化,相对于我们观察者所表现出的一种性质.
两个质点之间的空间的运动变化和两个质点之间的相对运动本质上应该是一回事情。
人类被万有引力这个“力”字蒙住了眼睛,老是想力是什么东西,力到底是什么?越想越糊涂!
一个女孩从我面前走过,我说这个女孩很漂亮,一把小刀,我说很锋利。漂亮是我们对女孩描述出的一种性质,锋利是我们对小刀描述出的一种性质。
力就是我们对物体之间相对运动描述的一种性质,力不是一个具体存在的东西。
两个物体有相对加速运动或者有相对加速运动趋势,我们就可以说他们之间受到了作用力。
设想一下,如果在中国,一个人手里拿一个小球,在某一个时刻,这个人把小球放下,小球从静止状态加速撞向地球。按照前面的看法,也可以说小球始终是静止的,是地球撞上了小球。
也许有人反驳,我们同时在我们对称的国家——巴西放一个小球,岂不是小球要加速地飞向空中?
这个反驳其实是需要一个前提:空间是静止和不动的,一切物体像鱼儿那样在静止的空间海洋里运动,空间的存在与质点的运动是不相干的。
关键的关键是:空间本身是时时刻刻在运动、变化的,空间和质点的运动是紧密的联系在一起的,至于空间为什么会运动,请参阅前面的《垂直原理》。
我们观察者站在地球上,随手放下一块石头,这个石头没有受到别的作用力,只是受到地球的万有引力的作用,从静止状态开始做自由落体运动,向地球中心坠落。
当没有这个石头,石头所在的空间仍然以石头这种方式向地球中心坠落。如果能够将空间染上颜色的话,你会看到空间时刻不停的向地球中心坠落,这个就是引力场的本质。
相对于我们观察者,单地球一个质点,周围的空间运动是均匀的,引力场的分布也是均匀的,不存在万有引力的出现。
当地球周围空间存在了一个具有质量的石头,会使地球和石头周围空间的均匀运动状态被改变,单位立体角内的改变量,就是万有引力。
我们把这个石头设定为p点,用m表示石头的质量,地球设定为o点,用m’表示地球质量。
按照我们前面对牛顿三大定理的解释,p点受到o点的引力
可以表示为:
![]()
在前面的惯性质量等价于引力质量证明中,我们知道地球在p点产生的引力场
(本质是空间本身加速度运动)和p点的加速度(物体在空间中加速度运动)是等价的,这样:
![]()
上式中 G为万有引力常数,R是由o点指向p点的位置矢量,r为o点到p点之间的距离。
由式
和
导出万有引力公式:
![]()
以上告诉我们,万有引力的本质来自于相对运动,相互作用力本质也是一种惯性力。这个符合前面的统一场论的基本原理——一切物理现象都是运动形成的。
我们把地球周围引力场
看成是地球周围空间的运动程度,地球周围如果突然出现了另外一个质点p,质点p周围空间也会有地球周围空间同样的运动,这样,会引起地球周围引力场
发生变化。
我们把地球受到p点的引力F理解为p点的质量m【m 正比于
】使地球周围引力场发生变化的变化程度,
变化程度肯定可以表示为在角度为4π范围内,改变了n条
,所以,
![]()
一个物体质量m’在周围产生了引力场
,另一个质量m的物体处于引力场
中,导致了
的变化,变化的程度就是万有引力。
我们需要注意的是,这里的引力场
的变化,不是
随时间、空间位置变化的变化程度,而是
乘以物体p点的质量m,而引起了
的变化。
这个如同是一个线段,乘以垂直方向的另一条线段,导致本来的线段变化了,变成了一个矩形。
按照牛顿力学,我们地球【用o点表示】上空一个卫星【用p点表示】围绕地球以正圆旋转运动,在某一个时刻,由p点指向o点的加速度
就是地球在p点处产生的引力场。
我们可以设想这个卫星很小、很小,其指向地球的加速度
仍然可以表示p点所在地方的引力场大小和方向。
按照统一场论的思想——场是空间本身的运动,当我们把卫星拿走,仅仅是卫星所在的空间点【我们仍然用p点表示】围绕地球旋转,其指向地球的加速度仍然可以表示空间点p所在的引力场大小和方向。
我们用
表示由o点指向p点的位置矢径,则
和
成正比关系,但方向相反,满足以下关系:
![]()
k是常数。以上方程表示静止物体在周围产生的引力场是梯度场。
由于引力场等价于加速度,我们知道加速度和位移成正比,方向相反,就是一个波动过程。
这个表明,引力场具有波动性。这种波动是空间本身的波动,是一种螺旋波,波动速度就是光速。
如果矢径
的大小不变,仅仅是方向的变化,一端固定,一端环绕一周,由以上的静止引力场旋度为零,则:
![]()
以上表示,静止物体在周围空间产生的引力场是保守场。
从空间圆柱状螺旋式运动来看,引力场就是空间圆柱状螺旋式的旋转运动第一圈指向中心的加速度那部分。
地球和太阳周围空间【面对我们观察者】都是逆时针旋转,旋转相互接触地方空间运动方向相反,而抵消了一部分空间,导致了太阳和地球之间的空间在减少而相互靠近,表现为相互吸引。

二十九,时空波动方程与引力场
前面指出,物体周围空间以圆柱状螺旋式向四周发散运动,质点外空间点的矢量位移随空间位置变化、又随时间变化。
物理量【这里是质点外的空间点的位移量,简称位矢】随空间位置变化又随时间变化,可以认为具有波动过程。
我们知道,波动和圆柱状螺旋式运动有很大的区别,波动是振动的形式在媒质中的传播,而不像螺旋式运动是质点在空间中位置的移动。但是对于空间这个特殊的东西,两种运动却可以兼容。
一个空间点运动不会有波动效应,但是,一群空间点情况就不一样了。
大家可能记得一个名言:树上没有两片完全相同的树叶,但是,这个对于空间点来说就不成立了。
一个空间点和另外一个空间点绝对没有区别。可以断定,空间的圆柱状螺旋式运动中包含了波动形式。
下面我们由前面的时空同一化方程
来推导出时空的波动方程,并且指出和引力场之间的关系。
设想宇宙空间某一处存在一个质点o,相对于我们观察者静止,根据前面的时间物理定义和时空同一化方程,o点和观察者的时间t可以用o点周围一个空间点p的位移
来表示。
我们将
对时间t求导数,有结果:
![]()
将上式两边平方,有结果:
![]()
c是矢量光速
的标量,r是
的标量。
我们现在来考虑另外一个空间点p', p'点在o点周围运动,我们用
表示其位移,
随时间t变化,是时间t的函数,由
和t的关系可以断定
又是
的函数。
我们将空间点p'点的位移L对空间位移
的数量r两次求导数,有结果:
![]()

r是矢量
的数量。以上微分号d已经改为偏微分号∂。
对偏微分方程
![]()
求解,通解为:
![]()
f和g表示两个独立的函数,方程
可以认为是空间点从质点o出发向外行进的波。
而方程
传统认为在物理学中是不存在的,被认为是从无限远处汇聚到o点的波。
对于普通介质,似乎是没有这种物理意义的,但是,对于空间这种特殊的介质,却有物理意义的。这个实际上可以解释负电荷的来源,这个以后详细再讲。
以上方程也包含了以o点为中心向四面八方直线运动形式,和从四面八方直线汇聚到o点的运动。这种运动可以看成是螺旋波动的振幅趋近于零的极限情况。
方程
有两个特解
和
满足这个方程。
上面的波动速度c是光速,时空的波动是横波。
如果考虑运动的连续性,位移
在x轴、y轴上的分量
和
合在一起,在z轴的垂直平面上运动形式应该是一个圆。
所以,某些情况下,
和
一个取余弦波,另一个就取正弦波。因此,有下面的圆柱状螺旋时空波动方程:
![]()
![]()
在统一场论里,引力场是空间振动形成波动的根源,而电磁场是空间振动的传播,传播速度就是光速。
三十,电荷与电场的定义方程
1,电荷的定义方程
在统一场论中,电荷和质量都是质点周围空间以光速、以圆柱状螺旋式向四周发散运动的运动效应,二者有一个共同的起源——空间的光速、螺旋发散运动。
设想质点o相对于我们观察者静止,由o点指向周围一个空间点p点的位矢为
,我们以R的数量r作一个高斯球面s=4πr²包围o点。
R的一个端点在o点上,另一个端点p因为是以圆柱状螺旋式运动,其中的旋转运动会在高斯面s上画出一个立体角Ω。
前面指出,o点带有质量m可以表示为:
![]()
质量m表示包围o点的立体角4π内,穿过了n条光速运动空间位移矢量 ![]()
式
是质量定义方程的简化,表示在单位立体角Ω上恰巧有一条 ![]()
在统一场论中,质点o如果带有电荷q,q表示单位时间里、单位立体角上穿过的
的条数。也就是质量m随时间t变化的变化程度就是电荷,所以,有电荷的定义方程:
![]()
式中k’为常数。
以上就是电荷的微分定义方程,也可以认为是电荷的几何形式定义方程。
这个电荷定义方程,反映了电荷的大小与质点周围空间旋转运动立体角的角速度有关。
由于Ω是立体角,4π是其中一个最重要的取值,这个是电荷量子化的根本原因。
的变化是角度的变化,变化呈现往复性,所以,时间t的变化呈现周期性。
从这个定义式可以看出,电荷的本质与空间的旋转频率密切相关。
这里对电荷的定义,一部分是假设,一部分是推理。就是说电荷是物体粒子周围空间以光速、以圆柱状螺旋式向四周发散运动的运动程度。
我们得到这个电荷定义方程,看看和我们掌握的知识是非吻合,如果全部吻合,表明这个电荷的定义方程是正确可靠的。
这个电荷定义方程,只能适用于单个电荷粒子,对于宏观物体,里面许多正负电荷粒子,是不能直接运用的,因为宏观物体的电荷大部分正负相互抵消了。
2,证明电荷的相对论不变性
相对论中,电荷是不随运动速度变化的,但是,相对论没有证明。下面我们用电荷定义方程给出证明。
当物体粒子o点相对于我们观察者静止时候,带有电荷q,由以上电荷和质量的关系方程:
![]()
我们很容易看出,当o点相对于我们观察者以速度v运动的时候,质量m和时间t【相比较固有时间】同步增大一个相对论因子
,所以,q仍然不变。
3,对于电荷的定义一些我们需要注意的问题
电荷q的定义式中的
,表示出粒子的电荷量和粒子的质量变化率成正比,这个似乎与事实不相符,我们在实践中没有发现电荷粒子质量在剧烈的变化,也没有发现质量随着时间持续性的增大或者减少。
这种原因,可能是电荷粒子的质量变化是周期性变化,不是随着时间变化到无穷大。
而且,这种变化的频率可能极快,如同交流电那样,由于变化的频率很快,我们感觉不到、难以检测到变化。
以上质量定义方程
中, k 是常数,单个物体粒子,在周围没有别的粒子靠近的情况下,空间运动位移的条数n按理不会变化,变化是立体角Ω的变化,而我们知道,立体角的变化是周期性的。
如果这种情况被证实,则量子力学中物质波,粒子具有波长、频率,很可能与这个有关。
4,电场的几何定义方程
相对于我们观察者静止的o点,带有电荷q,在周围空间p点处产生电场E,我们用高斯球面s =
4πr²包围o点,p为s上的一个考察点,由o指向p的位矢为
,这样,
的数量为r。
由库伦定理给出的电场定义方程
中,
是常数,我们不需要考虑,
是空间位移矢量,r是高斯球面半径,唯一我们不清楚的是电荷q表示了什么意思。
一旦我们搞清楚了电荷q的几何意义,我们也就是彻底搞清楚了电场E的几何意义,所以,我们把电荷q的定义方程
![]()
带入到
中,就给出了静电场
的几何定义方程:
![]()
电场表示为单位时间里空间位移
穿过高斯球面s,在s上分布的密度,比起质量就是多了时间因素。
电荷粒子的电场的分向和周围空间位移一致时候,是正电场,相反是负电场。
5,解释库仑定律
库仑定律表述如下:
相对于我们观察者,真空中两个静止的点电荷q(电量为q)与q’(电量为q’)之间的作用力F和它们的电量的乘积成正比,和他们之间距离r的平方成反比,作用力的方向在它们之间的连线上。
电荷有正有负,同号电荷相互排斥,异号电荷相互吸引。数学公式为:
![]()
其中k为比例常数,
为真空中的介电常数 ,
是由q指向q’的位矢,其数量为r,
是沿
的单位矢量。
由以上电荷、电场定义方程可知,电荷q在q’处产生的电场应该为
![]()
由于电荷
在q附近的p点出现,使电荷q在p点的电场
发生了变化。
我们把这种场变化【由于场的本质是以圆柱状螺旋式运动空间,其实就是空间在运动变化】理解为q对q’的作用力,用
和q’的乘积来表示这种变化的效果,就有以上的库伦定理。
6, 正负电荷模型
统一场论中认定了粒子带有电荷是因为粒子周围空间本身时刻以圆柱状螺旋式运动造成的。
我们知道圆柱状螺旋式运动可以分解为旋转运动和旋转平面垂直方向直线运动。
粒子带有正电荷在周围产生正电场,是由于粒子周围空间直线运动部分相对于我们观察者以粒子为中心向四周发散运动,旋转部分以逆时针旋转,所造成的,并且满足右手螺旋。
径向速度【注意,不同于沿直线方向的运动速度,而是旋转速度叠加直线方向运动速度】是矢量光速,方向由正电荷指向无穷远处的空间。

粒子带有负电荷在周围产生负电场,是由于粒子周围空间直线运动部分相对于我们观察者,从无限远处的向粒子汇聚而来,旋转部分也是逆时针,所造成的。同样满足右手螺旋。
径向速度是矢量光速,方向由无穷远处的空间指向负电荷。

带电粒子周围空间圆柱状螺旋式是粒子带电的原因。我们知道圆柱状螺旋式运动是旋转运动和旋转平面垂直方向直线运动的叠加,我们可以用右手定则来说明。
我们在正点电荷周围作许多由正电荷指向周围空间的射线,我们用右手握住其中任意一条射线,并且大拇指和射线方向一致,则四指环绕方向就是正点电荷周围空间的旋转方向。
我们在负点电荷周围作许多由任意空间指向负电荷的射线,我们用右手手握住其中任意一条射线,并且大拇指和射线方向一致,则四指环绕方向就是负点电荷周围空间的旋转方向。
正负电荷周围空间都是右手螺旋式空间。
面对我们观察者,正电荷周围空间是逆时针旋转的。
面对我们观察者,负电荷周围空间是顺时针旋转的。
以上给出的电场、电荷的定义方程,一部分是我们的假设,一部分是我们的逻辑推理。
如果这个方程和我们已经掌握的知识全部符合,则这几个定义方程就是可靠的。
我们还要注意的一点是,以上的电场、电荷的定义方程不是绝对、唯一的,我们可以根据电荷、电场的本质,给出其他形式的定义方程。
7,几何图形解释同种电荷排斥、异种电荷吸引
既然电荷是物体粒子周围空间圆柱状螺旋式发散运动形成的,我们能不能用一个圆柱状螺旋式运动模型来解释电荷所有的规律?
还有,等量的正电荷和负电荷碰到一起,为什么电荷会相互抵消为零?这个可以用数学严格证明吗?
答案是可以的,证明和磁场的高斯定理类似。就是用一个微小曲面dS去截空间圆柱状螺旋式运动的矢量位移线。
在一个有限的、大小确定的曲面上,有多少条空间位移线进去,就一定会有多少条空间位移线出来,二者相互抵消为零。把dS遍及包围物体粒子的高斯球面全部积分,总结果是零。
为什么正电荷和负电荷相互吸引?

上图中,红色表示正电荷场线,蓝色表示负电场线。
带等量的正电荷和负电荷靠近,电荷周围空间的圆柱状螺旋式运动,径向部分以光速从正电荷出发,运动到负电荷结束。
空间的旋转部分相互接触的地方,由于方向相反而相互抵消。
注意,每一条电场线都带有旋转,电场线实际上是圆柱状螺旋式的,上图为了简洁,旋转线没有全部画出来。
这样正电荷和负之间的空间量在减少,有相互接触的趋势,表现为相互吸引。
两个电荷是相互离开还是相互靠近,取决于空间圆柱状螺旋式的旋转部分,因为径向方向的运动速度是光速,按照相对论,光速运动的空间缩短为零,或者说已经不属于我们所在的空间了。
一旦正电荷和负电荷极为接近,等同于一个点,周围的直线运动由于方向相反而相互抵消,旋转运动也由于方向相反而相互抵消。
这个就是等量正电荷、负电荷碰到一起,周围空间运动效应【包括静止质量】消失,电荷能够相互抵消的原因。

上图是两个带等量正电荷相互靠近,由于空间的旋转部分靠在一起的地方,运动方向是相同的,而使空间量加大。
注意,每一条电场线都带有旋转,电场线实际上是圆柱状螺旋式的,上图为了简洁,没有全部画出来。
这样两个正电荷之间的空间量在增加,有相互离开的趋势,表现为相互排斥。

上图是两个带等量的负电荷靠近,由于空间的旋转部分靠在一起的地方,运动方向是相同的,而使空间量加大。这样两个负电荷之间的空间量在增加,有相互离开的趋势,表现为相互排斥。
三十一,速度乘以质量随时间变化率就是电磁场力
相对论和牛顿力学给出的动量公式
和统一场论给出的动量公式
是不一样的。
统一场论的动力学方程:
![]()
![]()
中,m是粒子的质量,
是矢量光速,
是粒子运动速度,t是时间。
上式中
是速度乘以质量随时间变化的力,简称加质量力。
统一场论认为其本质就是电磁场力,其中
是电场力,
是磁场力,
按照统一场论的看法,以上的o点静止在 s’里时候,具有静止质量m’,周围的空间以矢量光速度
离开o点运动,带有电荷
【为什么可以这样表示,参阅前面的电荷定义方程】,如果受到了别的电荷的电场的作用,受到的静电场力
可以表示为:
![]()
在s系里,当o点【运动质量为m】以速度
沿x轴运动的时候,周围空间以矢量光速
【
和
的方向不一样,模一样】离开o点运动,沿
平行方向【也就是沿x轴方向】受到了电场力
可以表示为:
![]()
数量式为:
![]()
相应的,
![]()
数量式为:
![]()
由于光速c和电荷都不随速度
变化,也就是
![]()
所以,
![]()
c是
的标量,v是
的标量,F是力
的标量。
表示矢量光速
在s’系里的x轴上,
表示矢量光速
在s系里的x轴上。
注意,t和t’是不一样的。
和
方向不一样,但是,模都是标量光速c,并且c是不变的。
矢量光速
和
如果在沿
垂直方向,受到了电场力:
在s’系里,
![]()
数量式为:
![]()
在s系里,
![]()
由相对论速度变换,其数量式为:

![]()
所以,有:

同样的理由可以得出:

以上结论和相对论电磁力的变换是一致的。令o点的电荷为q,如果静电场表示为:

动电场表示为:

当o点以匀速度
沿x轴正方向直线运动的时候,在x轴上,
和
的数量是一样的,都是c,由于
和q是不变的,所以,
![]()
在y轴和z轴上,
的数量是
,
的数量是c,
所以,



如果认为

是静电场
在y轴上的分量,

是运动电场
在y轴上的分量的话,则:

注意,
![]()
对
的分析,会得到同样的结果,这个结果和相对论的电场变换是一样的。
我们还可以看到,运动电场力在速度
的垂直方向可以写成;

变成了两部分,一部分与速度
【数量为v】无关,一部分与速度
相关。
如果认为

是电场力,与速度
【数量为v】相关的那部分力

是磁场【用
表示】力,则
和
满足【用矢量表示】以下矢量叉乘关系:
![]()
这个结果和相对论是一样的。
三十二,核力场的定义方程
所有的场都可以通过引力场变化而得到。核力场和电磁场一样也可以用引力场的变化来表示。
电场是引力场中的质量随时间变化而产生的,核力场所不同的是引力场中空间点的位置矢量
【模为r】随时间变化而产生的。
引力场
![]()
中的
随时间t变化,产生了核力场:



以上的
是矢量光速。
以上公式只是猜测,核力场不同于电场和磁场,电场和磁场人类已经有了公式去描述,只是人类不知道电场、磁场公式中的电荷是什么,一旦知道电荷的几何形式,我们只要把电荷的几何形式定义方程带入电场、磁场公式中,统一场论就可以彻底的用几何形式去表示电场、磁场。
但是,核力场不同,人类没有关于核力、核力场的任何公式。
另外,核力来自于原子核内的质子和中子,而质子和中子总是在运动中,所以,以上核力场公式即使是正确可靠的,不能直接使用,需要推广在运动粒子上才可以使用。
以上的核力场公式是否可靠,以及核相互作用力精确公式,都需要人类在理论上和实验中继续探索。
对于核相互作用力,这里给出一种猜测,就是质点(质量为m)对附近质点p(质量为m’)施加的核力,等于o点在p点产生的核力场
(由以上核力场定义方程给出)乘以p点的质量m’,或者叉乘以p点的动量
,或者是叉乘角动量
三十三,磁场的定义方程
在统一场论中,磁场和电场不是同一种场,二者不能直接相互作用,不能直接叠加。
人类已经发现,带电粒子相对于我们观察者以匀速直线运动的时候,可以引起电场的变化,电场变化的部分我们可以认为就是磁场,也就是随速度变化的电场产生了磁场,统一场论继承这种看法。
设想在惯性参照系s’系里,一个相对于我们观察者静止的o点,质量为m’【以速度
运动时候为m】,带有正电荷q,在周围空间p【p点可以看成是空间点,也可以看成是场点、考察点】处产生了静电场
,【如果是负电荷,加一个负号,以速度
运动时候为
】,由o点指向p点的矢径为
【以速度
运动时候为
】。
我们以
的长度r’【以速度
运动时候为r】为半径作一个高斯面s’ = 4πr’²包围o点。
在惯性参照系s系里,当o点相对于我们以匀速度
沿x轴直线运动的时候,可以引起
垂直方向电场的变化,变化的部分我们可以认为就是磁场 ![]()
很简单的想法是运动电场E乘以速度
就是磁场
,由于速度
和电场
相互垂直时候,产生的磁场最大,因而它们之间应该是矢量叉乘,所以有以下关系,
![]()
为了得到运动电场
的几何形式方程,我们把由库伦定理得到的静电场定义方程

利用洛伦兹正变换【因为电荷o点相对于我们观察者在运动】进行修正,可以得到:

所以,

令真空磁导率为
。,因为我们这里讨论的是在真空情况下,则:


![]()
由于
![]()
所以,上式也是可以写成
![]()
所以,磁场的定义方程为:


上式中,人类以前一直不清楚电荷q是什么,现在我们一旦清楚了电荷q的几何形式,利用以上的电荷定义方程
![]()
可以得到磁场的几何形式定义方程:

令θ为矢径
【标量为
】和速度v之间的夹角,
可以表示为极坐标形式:

式中的
, c是光速,v是
的标量形式,
是矢量
(标量为r)的单位矢量。
利用质量和电荷之间的关系
,可以得到含质量的磁场定义方程:

在下图中,一个相对于我们静止的带正电荷粒子o点,在周围空间点p处产生了静电场
,当o点相对于我们观察者以速度
沿x轴匀速直线运动,可以产生磁场
,这个磁场的本质就是空间以矢量速度
为中心轴线在旋转,
的旋转和
满足右手螺旋关系。

磁场
和运动电场
以及电荷运动速度
满足以下关系:
![]()
按照矢量叉乘和斯托克斯定理排列顺序的习惯,y叉乘以z形成了x方向上的矢量面元,z叉乘以x形成了沿y方向的矢量面元,x叉乘以y形成了沿z方向的矢量面元,三个分量满足以下右手螺旋关系:
![]()
![]()
![]()
其中
是电荷粒子o点沿x轴的的运动速度。
按照统一场论的看法,物体粒子静止时候周围空间点的运动速度是矢量光速
,当物体粒子以速度
运动的时候,周围空间点的运动速度为
o点静止时候,周围空间点p是以矢量光速
在运动,当o点以速度
沿x轴直线运动的时候,p点的矢量光速和
一致,另外还叠加一个运动速度
,和o点运动速度
正好相反。
当我们把考察点放在p点上,就应该把o点的运动速度换成空间点p的运动速度,以上的分量关系变成了如下左手螺旋式:
![]()
![]()
![]()
当我们考察空间点p点的情况,用这个分量公式更直接方便。
在下图中,当电荷o点从a点开始,以匀速圆周运动到b点的时候,空间的旋转运动在这个圆周的正反两个面上一进一出,进的一面是S极,出来的一面叫N极。

从磁场这种几何形式来看,自然界不存在有磁单极子的。
三十四,推导麦克斯韦方程
麦克斯韦方程组4个方程可以描述出电磁现象所有的规律,但它不是最基本的。
利用电场、磁场的定义方程、场论中的高斯定理、斯托克斯定理,相对论中的洛伦兹变换,可以推导出麦克斯韦4个方程。
1,导出静电场
的旋度
对于静止电荷o点,带有电荷q,在周围产生的的静电场
,对电场定义方程
![]()
直接求旋度,注意,式中右边仅
是变量,得:
![]()
上式可以分解为以下三个分式:
![]()
![]()
![]()
2,导出静电场
的散度
对静电场定义方程
![]()
直接求散度,注意式中右边仅
是变量,得:
![]()
上式中的r是包围o点的高斯球面s的半径,在r趋近于零【也可以说高斯球面上的考察点——空间点p无限趋近于电荷o点】,且o点可以看成一个无限小的带电球体的情况下,式子出现了0/0的情况,利用狄拉克δ函数,可以得到:
![]()
ρ’是包围电荷o点的高斯球面s【s的体积非常小,无限接近于o点】内电荷的密度,
是真空介电常数。
我们需要注意的是,如果o点在高斯球面s外,s没有包围o点,其散度一直是零。
3,导出运动电场
的高斯定理
设想电荷o点静止在s’系里,带有的电荷q虽然是一个不变量,但是电荷q在s系中是以匀速度
沿x轴正方向直线运动,按照相对论的运动导致空间收缩,其体积要收缩到
【
为相对论因子】倍, 相应的q的电荷密度要增大到 γ倍。
所以,q在s系中密度ρ要比s’系中密度ρ增大一个相对论因子γ
![]()
电荷q在s系中是以匀速度
【标量为v】沿x轴正方向在直线运动,所以有电流密度:
![]()
是沿x轴的单位矢量。
由洛伦兹正变换的
得到
,再由电场的相对论变换
,
,
,以及静电场
的散度:
![]()
可以得出运动电场
的高斯定理:
![]()

![]()
![]()
4,导出磁场的高斯定理
利用相对论洛伦兹变换得到的微分算符
,
,
由前面的空间点p处磁场
和电场
满足的关系:
![]()
![]()
![]()
由于我们把考察点定在空间p点上,而不是电荷o点上,所以上式是左手螺旋关系。再加静电场
的旋度的第一式
![]()
再加电场的相对论变换公式
![]()
可以导出磁场的高斯定理:
![]()



![]()
5,导出法拉第电磁感应定理
由静电场
的旋度第一式
![]()
由电场的相对论变换
,
,
,
,导出:

所以,
![]()
由静电场
的旋度第二式
![]()
由电场的相对论变换
,
,
,由洛伦兹正变换
求偏微分得到的
,导出:
![]()

![]()
由速度定义
导出
![]()
所以:
![]()
由空间点p处的磁场
和电场
满足的关系式
![]()
得到:
![]()
由静电场
的旋度第三式
![]()
由电场的相对论变换
,
,再由以上的洛伦兹正变换的微分算符 得到的
,
,
得到:
![]()


由速度定义得到的
![]()
得到:
![]()
由空间点p处的电场
和磁场
满足的关系
![]()
中,得到:
![]()
由以上的推导加托克斯定理得出法拉第电磁感应方程:

![]()
![]()
![]()
6,导出电流和变化电场产生磁场
由空间点p处的电场
和磁场
满足的关系式
![]()
![]()
可以得出:


![]()
注意,
,ρ是电荷o点在s系里电荷体密度,这里用到了运动电场
的高斯定理
![]()
所以,
![]()
![]()
以上是从空间点p处考察得出的,由于电荷o点的运动速度v和p点运动速度 - v正好相反。
是电流,上式如果表示的是电流和变化磁场产生磁场,则负号就要去掉。再由速度定义得到的
![]()
所以,上式的矢量式可以写为:
![]()
为电场
沿x轴的单位矢量,
是电流。
由
,
,
,所以:
![]()
![]()
![]()
![]()
由
,
,
,所以:
![]()
![]()
![]()
![]()
由以上推理加斯托克斯定理,我们得到了麦克斯韦方程中的电流和运动电荷产生磁场:


![]()
三十五,随时间变化的引力场产生电场
在统一场论中,电场、磁场、核力场都可以由引力场变化形成的,电荷是质量变化形成的。反过来,电场、磁场、核力场的变化也可以形成引力场。
我们首先求出物体粒子o点相对于我们观察者静止时候,变化引力场产生电场。下一步,我们求出物体粒子相对于我们运动时候,引力场的变化产生了电场。
将引力场方程
![]()
中的
对时间t求偏导数,得到:
![]()
由以上的静电场几何定义方程
![]()
可以得到:

由于G, k’ ,4π,
都是常数,合并常数为f,则:
![]()
由此得到三个分量的关系式:
![]()
![]()
![]()
当带电的物体粒子o点以匀速度
【标量为v】沿 x轴正方向相对于我们直线运动的时候,用电场的相对论变换,加上引力场的相对论变换,可以求出运动物体电场和引力场满足的关系。
为了区分,我们用带撇的字母表示o点静止时候的产生的电场和引力场,不带撇的字母表示o点运动时候产生的电场和引力场。
o点静止时候的电场和引力场关系:
![]()
![]()
![]()
从相对论中的电场的洛伦兹变换我们知道:
,
,
,其中

由前面的引力场相对论变换,可知:
,
,![]()
对相对论中的洛伦兹时间正变换
对时间求偏微分,得到运动的时间延长了:


![]()
由以上可以求出o点运动时候,运动电场
和运动引力场
之间满足的关系:
![]()
![]()
![]()
从计算的结果看,物体粒子静止和匀速直线运动的时候,电场和引力场之间的关系式是一样的。
三十六,匀速直线运动物体的引力场变化产生电场
以上指出,物体粒子o点相对于我们观察者静止的时候,周围引力场
的散度为:
![]()
,
,
为
分别在三个坐标轴上的分量。
当o点相对于我们以速度
【标量为v】沿x轴正方向匀速直线运动的时候,引力场
的散度为:
![]()
对洛伦兹正变换
求偏微分,得到
,再加上
,
,再加以上的引力场的相对论变换,得到:

![]()
![]()
由以上可以得到:


![]()
把上式改为矢量形式,由于这里是散度,不是旋度,所以,用速度
【沿x方向,标量为v】和引力场
的三个分量去点乘。

![]()
![]()
上式中
,
,
是引力场
分别在x,y,z轴上的三个分量
,
,
的单位矢量。由数学中矢量点乘定理,加上速度定义得到的
。
有:

![]()
![]()
![]()
注意,上式中用到了电场
在x轴上的分量
和引力场
的在x轴上的分量
之间的关系式
,
以上表明,物体粒子o点相对于我们观察者静止时候在周围空间产生了引力场
,当以速度
【标量为v】沿x轴匀速直线运动的时候,引力场发生了变化【变化后的引力场我们用
表示】,变成了两部分,一部分与速度无关,一部分与运动速度有关,而与速度有关的、沿x轴分布的那部分,其实就是电场。
利用运动物体粒子的引力场和电场之间的关系,还可以导出磁场的旋度和变化引力场之间的关系。
将以上的运动电场
和运动引力场
之间的关系
![]()
带入麦克斯韦方程组中的:
![]()
中,得到:
![]()
式中
是密度为ρ【
】电荷体沿x轴正方向以速度
运动形成的电流,
![]()
在麦克斯韦方程中可以写为
【
】,所以,上式可以写为:
![]()
所以:
![]()

上式表示,变化的引力场可以产生电场,也可以产生磁场。
这种情况和麦克斯韦方程是类似的,引力场可以纳入到麦克斯韦方程中,作为麦克斯韦方程的扩展形式。
三十七,运动电荷的电磁场产生引力场
统一场论核心是变化的引力场可以产生电磁场,反过来,变化的电磁场也可以产生引力场。
相对论和电磁学认为,运动电荷不仅仅产生电场,还会产生磁场。
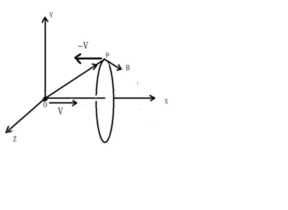
统一场论进一步认为运动电荷不仅仅产生磁场,还产生了引力场,下面我们求出运动电荷产生的电磁场与引力场之间的关系。
1,匀速直线运动电荷的磁场可以表示引力场的旋度
上面我们指出变化引力场产生的电场,方向没有变化,引力场和电场方向是一致的,而电场一般情况下和磁场方向总是垂直的,所以,引力场的方向和磁场方向在一般情况下也是垂直的。
我们来探讨引力场的旋度和磁场之间的关系,因为旋度描述的就是场沿垂直方向随空间位置的变化情况,而散度描述的场沿平行方向随空间位置变化的情况。
设想一个正点电荷o点,在0时刻从原点出发,相对于我们观测者以速度
【标量为v】沿x轴正方向匀速直线运动。
在参考系s系【s’系相对于s系以匀速度V沿x轴正方向直线运动】里,点电荷o在周围空间点p处【p点是我们的考察点】产生了电场
、磁场
,
的环绕是右手螺旋。如下图。

我们不以电荷o点作为考察点,而是以空间点p为考察点,由于o点的运动速度V和p点的运动速度﹣V方向正好相反,所以,这里的运动电场
、均匀磁场
满足左手螺旋关系式:
![]()
为了求出磁场和引力场之间的关系,我们先来求出s系里引力场
的旋度:

由前面的物体静止时候的引力场的旋度为零,也就是:
,分量形式为:
![]()
![]()
![]()
再由引力场的相对论变换,加上相对论的洛伦兹变换中的
,
,得到:

是相对论因子,所以:
![]()
对相对论的洛伦兹正变换
求偏微分得到
![]()
再由静止引力场的旋度为零:
![]()
得:
![]()
所以:
![]()
所以:

所以:
![]()
由速度定义
,所以:
![]()
由静止引力场的旋度为零:
![]()
和引力场相对论变换,加以上的
,得:
![]()
所以:
![]()
所以:

所以:

由速度定义
,所以:
![]()
由前面的运动物体的引力场和电场之间关系式:
![]()
![]()
![]()
可以得到:
![]()
![]()
![]()
前面我们指出,电荷以速度
【标量为v】沿x轴正方向匀速直线运动时候,我们以电荷周围的一个空间点p作为考察点,p点的运动速度
和电场
和磁场
三个分量满足以下左手螺旋关系:
![]()
![]()
![]()
通过对比,可以得到:
![]()
![]()
![]()
合并以上三式,可以得到引力场
的旋度和磁场
所满足的关系:
![]()
这个是磁场和引力场满足的基本关系方程,这个方程告诉我们,电荷以某一个速度匀速直线运动时候产生的磁场,可以表现为引力场的旋度形式。
电磁学和量子力学引入的磁矢势概念,并非是一个虚无的概念,其本质就是漩涡引力场。这个方程可能是量子力学中AB效应的最终解释。
将方程
两边点乘矢量面元
【可以看成是包围电荷粒子o点的高斯球面s = 4πr²上一小块面积,其正方向,也就是法方向向外】,再利用场论中的斯托克斯定理,可以得到磁场满足
和引力场
之间关系的积分方程:
![]()
这种引力场以磁力线为轴线,满足右手螺旋,在空间中环绕分布。
将以上方程
两边对时间t求偏导数,再利用以上的电场E和引力场A的关系方程
,可以得到法拉第电磁感应的积分方程:
![]()
结合斯托克斯定理,也可以得到法拉第电磁感应的微分方程:
![]()
2,随时间变化的磁场产生电场和引力场
设想一个正点电荷o点,在0时刻从原点出发,相对于我们观测者以匀速度
【标量为v】沿x轴正方向直线运动。点电荷o在周围任意一个空间点p处产生了运动电场
、均匀磁场
:
![]()
统一场论认为,当o点相对于我们以加速度
沿x轴正方向运动,电荷o在周围任意一个空间点p处产生了运动电场
、引力场
、随时间t变化的磁场
和电场
。
以下是证明过程。
我们以空间点p为考察点,把所有的变量都直接关系到空间点p上,从而与点电荷o没有太大的关系了。
由于考察点不再电荷o点上,而在空间点p上,按照统一场论的动量公式P=m(C-V),空间点p的运动速度和o点运动速度V正好相反,所以,p点的运动速度为﹣V,所以,磁场
和电场
之间的关系,我们改变正负号,采用左手螺旋式:
![]()
分量形式为:
![]()
![]()
![]()
将以上方程
对时间t求导数,有:
![]()
如果我们能够证明
表示的是磁场变化产生变化的电场【也称漩涡电场】,就是法拉第电磁感应原理,作为对应,多出的一项
应该是变化磁场产生引力场。
因为
是空间点p的加速度,按照统一场论,空间本身的加速度等价于引力场。
我们先来证明
就是法拉第电磁感应原理。
三个分量如下【微分号d改为偏微分号∂】:
![]()
![]()
![]()
由静电场旋度为零
![]()
和洛伦兹正变换中的

得到:
![]()
所以

所以
![]()
由速度的定义得:
![]()
得到:
![]()
类似以上的操作,可以得到:
![]()
把这两个式子和上面的
的三个分量:
![]()
![]()
![]()
对比,可以得到:
![]()
![]()
![]()
合并以上三式,正是法拉第电磁感应方程:
![]()
下面我们对磁场
变化产生引力场
的方程
展开分析。
该方程的三个分量如下:
![]()

![]()
以上方程可以写为
![]()
对这个方程可以理解为:
正电荷o点沿x轴正方向以加速度
运动的时候,在周围空间任意一点p处,产生了变化的磁场
、电场
和沿加速度方向相反的引力场﹣ ![]()
﹣
、
、
三者满足叉乘关系,三者相互垂直的时候值最大。
以上是从微分角度分析,从积分角度分析,可以理解为变化磁场产生漩涡电场和漩涡引力场,并且都是左手螺旋。
3,加速运动电荷的电场、磁场、引力场三者之间关系
由于变化电磁场产生引力场是统一场论的核心,也是人工场技术得以应用的关键,下面,用另外一种方法来推导加速运动正电荷产生引力场。
电场、磁场、引力场的各种关系,可以看成是磁场定义方程 B
= V×E/c²这种基本关系的衍生,都可以从这个基本方程推导出来。
式dB/dt = A×E/c²只能适用于某些微观单个基本粒子,我们宏观看到的物体粒子,是许多微小带电粒子的复合,其正负电荷相互抵消了,磁场也有很多相互抵消了。
以上推导出的变化磁场产生引力场公式dB/dt = ﹣A×E/c²有可能只适用于正电荷,因为正电荷周围空间光速发散运动,可以把空间的扭曲效应【包含了加速电场、加速磁场和变化电场形成的引力场】以光速发散传播出去。
而负电荷周围空间光速向内收敛运动,按理是不能把空间扭曲效应发散出去的。
但是,按照洛伦兹变换,光速运动空间缩短为零,不再和我们是同一个空间,对我们观察者来说无法观察,有不确定性。所以,这个公式能不能适用负电荷,还需要理论进一步探讨和实践去判断。
为了进一步搞清楚加速运动电荷的电场、磁场、引力场三者之间的关系,我们结合一个实例来展开分析。
设想一个相对于我们观测者静止带有电量为q的正点电荷o点,在周围空间点p处产生了静电场E’。
在零时刻,当o点离开原点,突然相对于我们以矢量加速度A【数量为a】沿x轴正方向加速运动。
按照统一场论,o点的加速度运动,会导致空间点p从o点出来,以矢量光速C向外运动的同时,叠加了一个加速度﹣A。
按照统一场论的引力场定义——引力场是空间点本身的加速度运动,引力场和空间点p的加速度是等价的,所以,空间点p所在的位置,会因为o点以加速度A运动产生一个引力场﹣A【数量为a】。
下面我们来求出静电场Er、加速变化的扭曲电场Eθ、扭曲磁场Bθ、引力场﹣A之间的关系。
设想正点电荷o相对于我们观测者一直静止在笛卡尔坐标系的原点o,从时刻t = 0开始以加速度A【数量为a】沿x轴正方向作直线匀加速度运动。
在时刻t =τ时,o点到达了d点就停止加速运动,此时的速度达到了v = gτ,以后就以速度v继续沿x轴作匀速直线运动,一直运动到后来的q点。
如下图所示:

为了简单起见,我们考虑的是v远远小于光速c,od距离远小于oq。
下面我们考虑在任意时刻t (t远大于τ)时电荷o周围的电场分布情况。
在0时刻至τ时刻这一段时间内,由于正点电荷o的加速运动使它周围的电场线发生扭曲,并且这个扭曲状态也会以光速c向外延伸。
统一场论明确的指出,正电荷的电场线就是电荷周围以光速运动的空间点运动位移。
以上的扭曲状态以光速向外运动,就像一个向四周匀速喷水的水龙头,一旦水龙头抖动一下,引起水流发生扭曲,这个扭曲状态肯定的是以水流的速度向外延伸。
由加速运动电荷o引起的电场的扭曲状态以光速c向外延伸,在上图中可以看到扭曲状态的厚度为cτ,夹在两个球面之间。
后一个球面,在t时刻已向四周传播了c(t-τ)这么远的距离,这个球面是以q点为中心,直径为c(t-τ)的球面。
前一个球面,在t时刻已向四周传播了ct这么远的距离,这个球面是以o点为中心,直径为ct的球面。
由于从时刻t =τ开始,电荷o作匀速运动,所以在这个直径为c(t-τ)的球面内分布的电场应该是作匀速直线运动电荷的电场。
根据我们前面的设定,电荷o的运动速度v远远的小于光速c,所以这球面内的电场在任意时刻都近似为静电场。
在时刻t这一电场的电场线是从此时刻o点所在位置q引出的沿半径方向的直线。
由于t远大于τ,c远大于v,所以r = ct远大于vτ/2(即从o点到d点的距离)。因此,扭曲状态的前、后沿的两个球面几乎是同心圆。
随着时间的推移,以上的扭曲状态的半径(ct)不断的扩大,以光速向外延伸、传播。
我们从统一场论中电荷、电场定义方程知道,电场线发生扭曲,不会改变电场线的条数,仍然是连续的,所以在扭曲状态的前后两侧面的电场线的条数是相等的。
在v远小于c时候,这个扭曲的电场线可以当直线来看待。
我们选用与x轴成θ角的那一条电场线来分析。
由于从o点到d点的距离od相比r = ct要小得多,我们可以把o点和d点看作为一点(也就是od接近于零)。
而oq =vτ/2+v(t-τ)≈vt
扭曲区内的电场E可以分成两个分量Er【径向电场,电荷静止时候本来就存在,其数量为er,】和Eθ【横向电场,可以看成是Er的变化形式,其数量为eθ】。
由上图可以看出
eθ/er= vt sinθ/cτ= a t sinθ/c = a r
sinθ/c²
在统一场论中,引力场的本质就是空间点的加速度,引力场与引力场的场源指向引力场场点p的位置矢量R【数量为r】方向相反。
所以,这里的引力场可以用﹣A【数量为﹣a 】表示,所以有:
Eθ/er = ﹣A×R/c²
上式中由o点指向空间点p的位置r = ct改用矢量R来表示。
以上电场Eθ垂直于电磁场的传播方向(这里是Er的方向),并且只有在扭曲状态中存在。所以,它就是电荷o点加速运动时候所产生的横向扭曲电场。
Eθ可以看成是电荷因为加速运动引起了Er的变化。
上式给出了电荷o静止时候本来就存在的电场Er、加速运动引起Er的变化形式Eθ、加速运动电荷o产生的引力场﹣A三者之间的关系。
接下来,我们求出加速运动点电荷周围的变化磁场和产生的引力场之间的关系。
按照麦克斯韦方程,电场在真空中变化,必然产生变化的磁场。
统一场论、相对论都认为,电荷o以速度V运动的时候,电场E和磁场B满足一种基本关系:
B = V×E/ c²
由电荷加速运动而变化产生的横向扭曲电场Eθ、横向磁场 Bθ【数量为bθ】所满足的关系,没有跳出B =V×E/ c²。
注意,这个时候,电荷o点的运动速度为V,而电荷周围空间点p【也可以说是场点,考察点】的运动速度为﹣V。
统一场论指出,静止物体周围任意一个空间点以矢量光速C’向四周发散运动,当物体以速度V匀速直线运动的时候,空间点的运动速度变为C-V,所以,空间点本来的矢量光速C’和C比较有了一个改变量——速度V。
但是,这里的电荷o点运动速度远远小于光速,所以,o点静止时候周围的空间点p 的矢量光速C’和运动时候的C没有区别,我们统一写成矢量光速C。
由于扭曲状态是以光速在传播,空间点的运动速度是矢量光速C,加上统一场论的矢量光速概念,所以有式:
Bθ= C×Eθ/ c²
数量形式为:
c bθ = eθ
把上式和式Eθ/er = ﹣A×R/c²【注意,er是Er的数量】比较,我们有:
Bθ/er = ﹣A×R/c³
上式表示了电荷静止时候就存在的电场Er【数量为er】因为电荷加速运动而变化,所产生的引力场﹣A、变化磁场Bθ三者之间的关系。
利用时空同一化方程R=Ct,上式Bθ/er=﹣ A×R/c³也可以改写为:
Bθ= ﹣er(A×【R】)t/c²
【R】是矢量R的单位矢量,和C的方向一致,er的方向和【R】也是一致,所以,
er【R】= Er
所以,有:
Bθ= ﹣(A×Er) t /c²
将以上两边对时间t求导数,得:
d Bθ/dt =﹣ A×Er/c²
其实,这个公式,和前面得到的:
dB/dt =﹣(dV/dt)×E/c²= ﹣A×E/c²
是吻合的,用语言描述就是:
加速运动正电荷在周围空间产生加速度方向相反的引力场,并以光速向西周扩散传播。
可以看出,变化电磁场产生变化电场和引力场方程,没有跳出磁场和电场满足的基本关系方程B = V×E/c²,电场、磁场、引力场的一切关系都是这个方程的变种、衍生而已。
以上描述了正电荷加速运动,引起电场变化,产生了变化磁场和引力场,并且给出了加速变化电场、加速变化磁场、引力场三者相互关系【包含了方向】。
三十八,变化电磁场产生引力场的试验情况。
变化电磁场产生引力场试验已经申请了专利——“一种电磁转化引力场装置”。


人工场就是变化电磁场产生的可以人工控制的引力场。人工场可以取代我们地球上流行的电能,使人类进入光速虚拟时代。
要想人工场在地球上变成现实,最关键的是变化电磁场产生引力场的试验取得成功。
2023年11月2日,本人试验中首次发现:加速运动正电荷产生加速度方向相反的引力场。
2024年3月1日又发现:变化磁场产生漩涡引力场,令一切物体旋转。
1,加速运动正电荷产生加速度方向相反的直线引力场试验。
在下图中,

导线的正负极之间不接触,相隔6厘米,套上有机玻璃管。
用细线悬挂一个轻小薄片状物体【任意一种材料】,中心打孔,套在有机玻璃管上,但不接触有机玻璃管,处于正负极6厘米空隙的中间位置上。
当正负极连接5万伏以上的高压直流电源,按下电源开关瞬间,悬挂物向正极方向运动。掉转正负极,悬挂物仍然向正极方向运动。
按照统一场论的变化电磁场产生引力场理论来分析,这个是由于加速电场产生的引力场令各种材料的悬挂物加速运动。
当按下开关瞬间,线路中正电荷原地加速振动,在正负极之间产生的加速电动势就包含了引力场A,数学公式为:
Eθ/er = A×R/c²
上式中Eθ是正点电荷加速运动产生的扭曲正电场【矢量形式】,er是电荷静止时候产生的静电场【标量形式】,R是由电荷指向空间中的一个考察点的位置矢量,c是标量光速。
详细的数学推导,参阅本书变化电磁场产生引力场的相关章节。
套上有机玻璃管,是防止离子风效应和静电马达效应。让悬挂物是薄片状,为了抑制悬挂物的极化效应和退极化效应。
在真空条件下这个试验也取得了成功。
以上试验,由于有机玻璃管不方便弯曲,有机玻璃管两端的导线接头部分容易产生离子风,后来,用柔软的硅胶管代替有机玻璃,取得很理想的效果。
在下图中:

用一根长190厘米,外径3mm【或者2mm】,内径1mm的硅胶管,把两根长90厘米、直径0.8mm漆包铜导线套上。两个导线不接触,相隔5厘米。
如果导线不好塞进硅胶管,可以对硅胶管内滴润滑油,或者用医用注射针注油进去。
导线和硅胶管悬吊在一个木制的架子下面。
制作一个4cm×11cm、厚度0.15mm的塑料皮,用细棉线悬挂起来,位置在两根导线空隙的中心点。塑料皮中心打孔,套在硅胶管上,但不接触硅胶管。
两根导线分别接在两个串联的高压包的正负极上。给两个高压包供电的,可以是电池、电源机箱【输入220v交流电,输出直流0至30v,淘宝上可以买到】。如果给两个高压包独立供电,效果要好一些。
从淘宝首页上搜“直流2000Kv高压发生器高压模块”,可以买到高压包。选择输入直流电压7.4v的。
高压包输出2000Kv是商家虚标,实际测量在20kv左右。
怎么鉴别高压包高压输出端两根线的正负极?
把高压输出端两根线离开8至10厘米,下面点上蜡烛,让高压包通电,火焰偏向那一方,就是负极。或者用高压直流电表测量。
我在试验时候,按下电源,塑料皮向正极移动,调转正负极,塑料皮仍然向正极运动。
按照《统一场论》理论的预言:当按下开关瞬间,加速运动正电荷产生加速度方向相反的引力场。
线路中正电荷原地加速振动,在正负极之间产生的电动势就包含了引力场,这个引力场令悬挂物加速运动。
导线套上硅胶管,是防止离子风效应和静电马达效应。让悬挂物是薄片状,是为了抑制悬挂物的极化效应和退极化效应。
试验的关键是把导线【特别是导线接头】绝缘、密封彻底,把高压包覆盖起来,不能让导线和高压包对外产生离子风和静电马达效应。
试验的时候要注意,不能在短时间里反复试验,那样极化效应和退极化效应严重,可能使塑料皮运动方向紊乱。
高压包不是必须的,高压包输出的脉冲直流电杂波严重,对试验有干扰,几个串联和并联就更严重,高压包只是价格便宜而已。其他4万伏以上的直流高压效果要更好一些。

以上是两个高压包串联试验的电路图。
2,磁场变化产生漩涡引力场令一切物体旋转试验
在下图中:

以上横放的真空罐直径10厘米,里面悬挂一个红色的聚乙烯小球,小球质量0.35克,试验的时候抽成真空。抽真空的目的是防止静电马达效应和离子风效应。
真空罐上下各放置一个直径8厘米、高12厘米硅胶导线绕的线圈,这个红色硅胶导线直径10毫米,里面的铜丝直径1.5毫米。
两个线圈相互不连接,是断开的,两个线圈的另一个端点分别接脉冲直流高压电的正负极。
以下是大功率倍压电路提供的高压脉冲直流电。

图中地下白色的是2000瓦直流电源。
这个直流电源把50赫兹、220伏家用交流电变成直流电,试验的时候调到52伏。
52伏直流电经过3000瓦zvs驱动板振荡为频率3万赫兹、18伏交流电,交流电经过图中黑色的550倍变压器,变成1万伏直流电。
1万伏交流电经过10倍压电路【16倍压效果更好,图中绿色的是2CL - 100KV - 2A整流二极管,黄色的是30kv高压电容】整压和升压,变成了10万伏的脉冲直流电。
试验的时候,按下电源开关,真空罐里面的小球开始旋转,关电源的时候,小球旋转加快。
三十九,统一场论能量方程
1,能量的定义:
能量是质点在空间中【或者质点周围空间本身】相对于我们观察者在某个空间范围内【由于时空同一化,也可以说在某一个时间段内】运动的运动量。
能量和动量的定义是类似的,反映质点和空间相对于我们观察者的运动程度,所不同的是,动量是矢量,能量是标量,描述的角度不一样。
注意,空间、物质点、观测者、运动四个条件一个都不能少,否则,能量就失去了意义。
单独存在的空间,没有包含物体在里面,也就是纯真空是没有能量的。没有观察者,或者没有指明哪一个观察者,能量是不能确定的。
2,统一场论能量方程
将统一场论动量方程的标量形式m’c = mc√(1 - v²/c²)两边乘以标量光速c,就是统一场论能量方程:
e = m’c² = mc²√(1 - v²/c²)
m’c²为o点静止能量,当质点的运动速度v=0时候,以上的能量方程和相对论的质能方程e =
mc²是一样的。
m’c²为o点的静止时候能量,这个和相对论的看法一致。
一个相对于我们观测者静止质量为m’的质点,相对论认为有一个静止能量e = m’c²,意思是指这个质点周围n条空间点的矢量光速的平方,n的大小取决质量m’。
统一场论中的基本假设:宇宙任何物体静止时候周围空间以矢量光速向四周发散运动,可以直接解释相对论静止能量。
在统一场论中,mc²√(1- v²/c²)为o点以速度v运动的时候的能量和静止能量m’c²是相等,相对论认为不相等。
统一场论认为质点能量的量必须相对于一个确定的观察者才有意义。
在统一场论中, s’系的观察者发现o点静止,能量为 m’c²。
s系里观察者发现o点以速度v相对于自己运动,能量为
mc²√(1- v²/c²)。
但无论哪一个观察者都不可能观察到o点能量为mc²。
我们可以设想,一个质量为m的火车相对于我们地面的观测者以匀速度V【数量为v】直线运动,地面的观测者认为这个火车有动能mv²/2 ,而火车上的观测者认为火车的速度为零,因而动能为零。
所以讲,现代物理学认为动能相对于不同的参考系是不守恒的,一个物体具有的能量在不同的观测者看来是不一样的。但是,统一场论有着不同的看法。
统一场论认为一个物体具有能量在相互运动的观测者看来数量是一样的,能量对于不同的参考系仍然是守恒的。不同的观察者看到的只是物体粒子运动形式有所不同,而粒子总的能量是不变的。
统一场论强调了不同的观测者,看到了能量有不同的表现形式,但总的能量的数量与观测者无关,这种观点应该比相对论的观点要合理一些。
3,统一场论能量方程和经典力学动能公式的关系
经典力学认为,一个质量为m的质点o点相对于我们观测者以速度V【数量为v】运动时候,在我们观测者看来,具有动能 Ek = 1/2 mv²。
统一场论和相对论有相同的动能方程:
(m - m’)c² = Ek,
Ek也是牛顿力学中的动能,
将统一场论能量方程
e = mc²√(1- v²/c²)中√(1- v²/c²)用级数展开为
1- v²/2c²·····
略去后面的高次项,得到:
e ≈ mc²- mv²/2
mv²/2就是牛顿力学 的动能Ek,
由e = m’c²可知mv²/2≈ mc² - m’c² = c²(m - m’),这个表明经典动能是物体以速度v运动的时候引起静止质量发生变化的变化量。
4,统一场论中动量和动能之间的关系
统一场论的静止动量P’= m’C,运动动量为P = m(C- V)【标量式为p =
mc√(1-v²/c²)】。
统一场论认为质点的静止动量的数量和运动动量是相等的。
p = mc√(1- v²/c²)= m’c
m’为物体o点静止质量,m是o点以速度V【标量为v】运动时候的质量。
统一场论给出的能量方程认为质点o静止时候具有能量m’c ²,以速度v运动的时候具有能量mc²-Ek是一样的,并且:
mc²
- Ek = m’c ²
其中Ek ≈(1/2)m v² 为o点的动能。
将能量方程:
m’c² = mc²√(1 - v²/c²)
两边除以标量光速c就能够得到统一场论的动量公式的数量形式:
m’c = mc√(1 - v²/c²)
对于统一场论能量和相对论动量P ’= mV【数量为p’= mv】之间的关系。
对统一场论能量方程e = m’c² = mc²√(1 - v²/c²)两边平方,可得:
e ²= m’²c²c² = m²c²c² - m²c²v²
由此得到:
m²c²c² = m²c²v² + m’²c²c²
m²c² = p’²+ m’²c²
这个结果和相对论看起来是一样的,但是,相对论认为m²c²c²是物体粒子的总能量,这个和统一场论是不一样的。
而统一场论认为总能量e平方为:
e ²= m’²c²c² = m²c²c² - p’²c²
四十,光子模型
相对于我们观测者,加速运动的电荷会在周围空间产生加速变化的电磁场,加速变化的电磁场可以产生反引力场,反引力场可以使加速电荷、或者附近的某些电子的质量和电荷消失。
电子的质量、电荷消失,导致电子周围的力场和电磁特性消失后而激发起来,以光速向外运动,这个就是电磁波,又称光。这里有一个猜测,对于某些频率很低的电磁波,可能就是单纯的加速扭曲电磁场,其中没有包含电子这种实物粒子。
光子模型,一种是由单个激发电子相对于我们观察者以螺旋式远离我们运动,并且旋转的中心是条直线,在这个直线方向速度是光速。

第二种是两个激发电子对称绕一条直线旋转,同时又沿着这条直线方向以光速运动,结果也是以圆柱状螺旋式远离我们观察者运动。

电子受到了加质量力
的作用后,处于静止质量为零的激发状态,这个就是光子,光子相对于观察者在没有改变因素的情况下始终以光速惯性运动下去。
给电子施加加质量力的能量,需要一个固定的能量可以使电子激发起来,小于这个能量,电子无法激发;大于这个能量,也无法施加到电子上,因为只要能量达到了,电子就已经激发以光速跑掉了,再加加不上了。
这个就是光子的能量是量子化 的根本解释。
宇宙中任何物体粒子周围空间以粒子为中心,以光速向四周发散运动,光子其实是静止在空间中随空间一同运动。
光子的粒子性,是因为光子由激发电子构成,光子的波动性是空间本身的波动,空间时刻在波动,波动速度就是光速。
利用统一场论动量和能量公式,可以求出光子的动量和能量公式。
统一场论的动量方程标量形式:
mc√(1- v²/c ²)= m’c,
由于光子的静止质量m’= 0,
所以,mc√(1- v²/c ²)=0
所以,m²c²- m²v²= 0
所以,光子运动的时候动量分为大小相等的正负两部分,使得总动量为零,其中单独一项是【标量形式】:
p = mc²
统一场论动量方程的矢量形式为:
P静 = m’C’
P动 = m(C-V)
由于光子的静止质量m’=0,P动和P静的数量相等,
导致光子的运动动量分为大小相等的正负两部分,总动量为零:
P动=m(C-V)=0
mC = mV
两边除以m,得到C = V
这个就解释了光子在静止质量为零为什么一定要以光速运动。
以上光子动量公式,其中单独一项是【矢量形式】:
由统一场论能量方程e = m’c² = mc²√(1 - v²/c²)和光子的静止质量m’=0,得到:
m’c² = mc²√(1 - v²/c²)=0
光子的静止能量为零,运动能量分为大小相等的正负两部分,总的能量也是零:
mc²√(1 - v²/c²)=0
m²c²c²- m²c²v²=0
其中单独一项为:
e = mc²
按照以上的推理,我们把光子的能量方程e = mc²除以光速c得到光子的动量方程:
p = mc
矢量式为
光子的动量p和能量e满足以下关系:
P = e/c
对于光子,可以看出统一场论给出的能量公式和相对论有相同部分,也有不同部分。
光子的静止质量为零,因而其静止能量m’c²也是零,而光子的运动总的能量 mc²√(1 - v²/c²)也是零,所以光子的运动速度v = c。
光子运动能量分为正负两部分,其中任意一部分都是mc²,所以,光子运动的时候,其运动能量也可以表示为e = mc²。
以上表明,光子仍然遵守能量守恒。
我们可以设计一个试验,来证明光子其实就是激发电子。
设想一个机械持续带动一个发电机不停地发电,给一个灯泡供电,灯泡不断的向外界辐射光子,如果光子是灯丝中电子激发的,最终会使灯泡灯丝中的电子枯竭。
这个试验的难点就是如何屏蔽外界的空气,给灯丝及线路补充损耗的电子。
把整个设备放在玻璃真空室内运行,可能是一个办法。
附录:统一场论的主要应用——人工场扫描技术
目录:
一,人工场扫描设备由几部分构成?
二,人工场扫描有什么具体的用处?
三,要造出人工场扫描,需要完成那些步骤?
人工场扫描就是利用变化电磁场产生的正、反引力场【不同于反重力,重力和引力场量纲都不一样】,在计算机程序控制下工作的一种设备。
人工场扫描设备和我们地球上电能装置类似,是一种基础的动力源。原理和法拉第的电变磁、磁变电类似,是利用了电磁场和引力场的相互转化。
人工场是电的升级产品,可以取代我们地球上流行的电能。
人工场扫描的理论基础是《统一场论》所提供的,加张祥前的微信可以获得。
一,人工场扫描设备由几部分构成?
人工场扫描设备包括两大部分,一部分是人工场扫描硬件设备,另一部分是控制人工场扫描设备的软件。
人工场硬件设备可以放置在天空中,可以远程的、非接触的向地面发射人工制造的场,可以无障碍的穿透墙壁对内部物体施加作用。
我们地球上的发电机把其他能量转化为电能,用输电线再把能量输送到电动机或者用电器上,供用户使用。
发电机是把其他能量转化为电能,发电机本身不创造能量。
人工场扫描发射器就像发电机,其本身也不能创造能量,只是把其他能量【特别是电能、太阳能】转化为场能。
人工场对物体照射,可以改变物体的质量、电荷、速度、位置、温度、所在的空间、所经历的时间等。或者通过真空把场能量传输给能量接收者。
发电机是通过电线把能量输送到电动机上,而人工场扫描可以通过真空把能量远距离的输送给能量接收者。
相比较电能,人工场发生器不需要电线,通过真空就可以远距离的、非接触的传递作用力、传输能量,这个是人工场发生器最重要的优点。因为这样可以使产品和设备中心化、虚拟化,数量很少的产品和设备就可以供全球范围内所有人的需求。
比如,将来,全球几十亿人共用一台巨型电脑。
所以,人工场的出现,可以使全球产品的数量大幅度减少。
二,人工场扫描有什么具体的用处?
我们知道,电能可以令物体运动、对物体加热、制冷、产生声音、产生光、产生电磁场、处理信息等。
人工场扫描除了具有了电能所有的功能外,还可以影响时空,就是对空间照射,可以影响局部范围内的空间长度和空间中发生事情时间的长短。
也可以通过影响时间、空间进而影响空间中存在的物体,令物体运动。
人工场扫描设备发出的正引力场,对物体照射,可以增加物体的质量;产生的反引力场对物体照射,可以减少物体的质量,可以一直减到零。
物体一旦处于零质量的激发状态,就会突然以光速运动。
物体一旦处于接近于零质量的准激发状态,虽然不会以光速运动,但可以穿墙而过,并且,物体和墙都完好无损。
人工场扫描这些独特的特性,不但可以取代电,是电的升级产品,还具有以下用处。
1、造出可以光速飞行的飞行器来。
人工场扫描对飞行器照射,可以使飞行器质量变成零,飞行器质量只要变成零,就会突然以光速运动起来。这个也是飞碟的飞行原理。
2、建筑、工业制造上的冷焊
人工场扫描对物体照射,可以使物体处于准激发状态,处于准激发状态的两个物体,可以相互无阻力的切入对方,撤走人工场,物体就焊接在一起,这个就叫冷焊。
人工场扫描可以使冷焊超大规模使用,使造房子、工程、工业制造的速度百倍的提高,费用百倍的降低,可以在人类生产、生活、医疗——的各个方面创造神话。
3、人工信息场扫描。
人工场在复杂的电子计算机程序控制下工作,叫人工信息场。
人工信息场可以对人体探测、冷焊接、激发、加热,可以高速切割、搬运等功能,可以对分子和原子精确的定位、识别、批量的操作。
人工信息场还可以在人体内部手术,而不影响外部,手术的时候不要开肠破肚,就可以在人体内部瞬间移走物体。
可以快速、彻底移走人体内的癌细胞、病毒等有害物质,简单粗暴,不需要找到发病机理。
人工信息场这些不可思议的能力,以及和电子计算机完美结合,可以使人类彻底治疗各种传染病、癌症、高血压、糖尿病、老年痴呆症——等各种急慢性疾病,可以使人类进入无药物时代。
人工信息场减肥、整容、雕塑人体型的效果神奇到不可思议,而且人毫无痛苦,
4,瞬间消失运动——全球运动网
利用人工场扫描,可以造出全球运动网。全球运动网建成,放置在太空中。大家出门旅行,只要带一个手机,把自己的运动请求发给全球运动网,全球运动网用人工场扫描对人一照射,人就立即消失,在自己想要的地方出现。
全球运动网可以使人员和商品在一秒钟之内出现在全球任何一个地方,包括在密封的房间同样做到。但是,全球运动网作用范围只能在一个星球上,到别的星球,只能坐光速飞行器,或者叫飞碟。
5、全球大规模无导线导电
如果我们不严格的区分电能和场能之间的区别,叫场能或者电能,只是我们人的叫法而已,可以把全
球无导电导电中心理解为全球中心能量场,就是从太空中几个卫星远程的、非接触向全球所有能量使用者提供能量。
6、汇聚太阳能接收器
人工场扫描设备对空间照射,通过影响、压缩空间,进而可以把空间中太阳发出的光子吸收下来,可以在一平方米上接受上万平方米太阳能,解决人类能源危机,而且能源廉价,几乎可是免费的。
汇聚太阳能接收器还可以人为的减少某一个地方的太阳能,结合电子计算机分析,来强力的控制、调节天气,避免有害天气的出现,因为有害天气的源头就是太阳能。
7,无限压缩空间储存、传输信息技术。
宇宙任意一处空间可以存储整个宇宙的信息,空间还可以无限压缩。
利用人工场扫描处理信息,由于场的本质就是圆柱状螺旋式运动的空间,等于利用空间来储存、传输信息,人工场扫描可以升级人类的信息技术。
8、虚拟建筑和光线虚拟人体。
利用人工场对空间施加影响,比如影响一个平面,使这个平面产生场力,这个平面可以对运动经过的物体产生阻挡力。
再用人工场锁住光线,使这个平面染上颜色,这样,就可以产生一个虚拟平面,这个虚拟平面可以当做一堵水泥墙,利用这个虚拟墙就可以组成各种虚拟建筑。
人工场扫描还可以使人体虚拟化,由光线组成的虚拟人体会在地球上大规模的流行起来。
人工场扫描技术,可以使很多产品都是虚拟的,将来的电脑、手机,与处理信息相关的产品可以完全虚拟化。
全球几十亿人都可以使用一台虚拟手机或者叫电脑,使用者可以迅速的在自己身边出现三维立体虚拟图像和声音,不用时候,一挥手可以立即消失。
9,时空冰箱。
我们把食物储存在时空冰箱里,虽然里面的温度和外面的一致,但是这种时空冰箱在人工场的照射下,我们在外面已经过了一年,里面的时间才过了一秒,所以,这种冰箱保存食物的保鲜程度是普通冰箱望尘莫及的。
反过来,里面过了一年,外面才过一秒,也可以实现的。
时空冰箱基本原理就是人工场对空间照射,可以改变空间里面的一切事件时间流逝的快慢。
10,意识读取、存储的场扫描技术。
人的意识和思维是人大脑中运动的带电粒子、离子的运动形成的,会对空间施加扰动效应。
人工场扫描设备发出场这种无形物质,深入到人大脑内部,可以无损伤的扫描记录这些带电粒子的运动形式,也可以记录人大脑周围空间的扰动效应。
这样可以完整的读取、记录人的意识和记忆信息,从而进一步的把人的意识信息拷贝下来,数字化后,储存在电子计算机中。
待几百年后人类科技发展到一定程度,再把这些意识信息安装在一个人造的、没有自主意识的年轻人身体里,或者生物体上,使人复活,这样人的长生不老可以变成现实。
这种场扫描技术也可以改变教育模式,可以高速地向人大脑输送死记硬背之类的知识,使人学习时间大大缩短。
人工场扫描发出的是场这种无形物质,是人脑和电脑、互联网对接唯一可行的理想媒介。而电线、电磁波、超声波、x光子、电子、激光等别的东西深入到人大脑里,都会破坏人大脑的。
三,要造出人工场扫描,需要完成那些工作?
第1步,理论上指出电磁场、引力场的本质和定义方程,这个是基本方程。
这个基本方程本人已经完成了。
第2步,理论上指出变化引力场产生电磁场,变化电磁场产生正、反引力场的数学方程。
这一步,本人已经完成。
第3步,根据引力场和电磁场定义方程、电场和磁场基本关系方程、变化引力场产生电磁场、变化电磁场产生引力场的数学方程,来设计试验,验证变化电磁场产生正、反引力场。
特别是变化电磁场产生的反引力场,对物体照射,可以减少物体质量。
这一步,本人已经取得了重要进展,2023年11月2日,本人首次发现变化电磁场产生微弱的引力场效应。
后来的试验最终确定:
加速运动正电荷产生加速度方向相反的引力场。
2024年3月1日,试验发现变化的磁场产生漩涡引力场,可以令一切物体旋转。
第4步,根据基本定义方程,完善相关各种应用方程,特别是变化电磁场产生引力场的定量方程,就是多少电荷、多大运动速度,多大的加速度,在多远的地方产生多强的引力场,产生的引力场方向是指向那里,再根据这个定量方程设计造出人工场扫描设备模型。
第5步,设计伺候人工场扫描设备的各种计算机程序。
人工场所有的应用中,人工场扫描设备除了大小、功率不一样,其余都是一样的,不同的应用只是伺候的软件程序不一样。
如同发电厂发出的电都是一样的,只是电可以在不同的领域应用,才产生了千变万化的应用形式。
比如令物体运动、产生虚拟建筑的人工场扫描程序很简单,对人体治病,扫描人大脑意识的人工场扫描程序就非常复杂。
人工场扫描设备绝大多数应用需要计算机程序操纵。
第6步,拓展人工场扫描设备在各个领域的应用。
特别是完全的替代电能,取代人类所有的用电器,并且把人工场扩展应用到电能无法使用的领域,比如火箭。
人工场扫描是一个重大的基础科学研究项目,可以对整个人类产生剧烈影响。研发的费用可能达到美国曼哈顿工程的程度。但是,研发人工场最关键是要试验发现变化电磁场产生正、反引力场,而这个实验本人已经完成。
人工场属于常温技术,不涉及低温和高温,所以,对材料要求不苛刻,其难点是原理深奥,涉及到时间、空间、场、质量、电荷、能量······这些本质问题。
由于场的本质是圆柱状螺旋式运动空间,所以,人工场技术又可以叫时空技术。
但人工场的研发,仍然需要许多人合作、参与,如果有理工大学合作,理论计算和实验同步进行,估计在1之5年内可以完成人工场扫描10大应用中的大部分项目。
第二章,揭秘万有引力的本质之谜
注1,本文为了描述的方便和简单,把物体看成一个点,称为质点,本文只是描述质点在真空中的运动情况以及空间本身的运动情况,不描述形状物体在介质中运动情况。
注2,百度 统一场论第7版 可以看到更详细的背景资料。
目录:
一,万有引力的本质到底是什么
二,传递万有引力的介质是什么
三,宇宙到底有哪些东西构成
四,事和物的区别是什么
五,物理概念是怎么产生的
六,如何描述空间本身的运动
七,宇宙中的物体和空间为什么要运动
八,基本假设
九,宇宙空间为什么是三维的
十,脱离观察者谈论运动是没有意义的
十一,为什么说物体周围空间逆时针旋转运动产生了万有引力
十二,时间的本质和物理定义
十三,时间的物理定义与时空同一化方程
十四,场的严格定义
十五,引力场和质量的定义方程
十六,引力场的三种形态
十七,力的本质和严格定义
十八,解释牛顿三大定理
十九,证明惯性质量等价于引力质量
二十,导出万有引力公式
二十一,推导出空间的波动方程
二十二,空间的波动性和引力场的关系
牛顿的万有引力定理表述为:
宇宙中任何两个物体都是相互吸引的,吸引力大小和它们的质量成正比,与他们距离的平方成反比。引力的方向沿着两个物体的连线。
这个定理看起来很简单,但是它的本质牵涉到宇宙核心秘密。人类如果想把万有引力解释清楚,必须要对运动有更深入的认识,必须要理解与万有引力密切相关的时间、空间、质量、动量、引力场、加速度、力等基本物理概念,这些基本物理概念的本质和万有引力的本质是紧密在一起的。
如果有人宣称已经破译了万有引力的本质,其论文中没有提到时间、空间、质量、动量、引力场、加速度、力等本质问题,这样的论文毫无价值,不值得一看。
一, 万有引力的本质到底是什么
万有引力给人类最困惑的问题是:
1,宇宙中任意两个物体之间的引力是怎么产生的?
2,两个物体又是怎么把引力传递给对方的?
3,物体之间又是通过什么介质来相互传递引力的?
其实,万有引力的本质讲起来很简单。
举一个例子,一个汽车以匀速直线运动迎面向你驶来,驾驶员觉得自己是静止的,肯定认为你是迎面向汽车运动。
如果一个汽车加速的向你驶来,驾驶员觉得自己是静止的,肯定认为你在加速地向汽车运动。
究竟是你在运动还是汽车在运动,不重要,关键的、有意义的是汽车和人之间的空间在变化。
万有引力本质就是质点之间的空间在运动,相对于我们观察者的运动状态发生改变的改变程度。
简单讲,万有引力本质就是:
相对于我们观察者,空间中两个物体在相对加速运动、或者具有相对加速运动的趋势。
两个问题我们需要认识到:
一个是宇宙中所有的物体,周围的空间总是在运动变化。
另一个是,描述物体之间的万有引力,必须要相对于一个明确的观察者。与万有引力相关的一切物理量,只有相对于一个明确的观察者,才具有物理意义。
没有观察者,或者不能指明是哪一个观察者,结果是不能确定的,或者说是没有意义的。
两个质点之间的空间的运动变化和两个质点在空间中的相对运动,其本质上应该是一回事情。两种位移量可以相互叠加。
人类被万有引力这个“力”字蒙住了眼睛。老是想力是个什么东西,力到底是什么?越想越糊涂!
一个物体,有体积,有长度,有宽度,有高度,这些反映了这个物体的一种性质,而万有引力也是物体相对之间的空间本身运动状态改变,所表现出的一种性质。
一个女孩从我面前走过,我说这个女孩很漂亮,一把小刀,我说很锋利,漂亮是我们对女孩描述出的一种性质,锋利是我们对小刀描述出的一种性质。
力就是我们对物体相对运动【或者具有相对运动趋势】描述的一种性质,力不是一个具体存在的东西,是我们人对物体在空间中运动状态改变程度、或者物体周围空间运动状态的改变程度所描述出的一种性质。
两个物体具有相对加速运动、或者虽然是静止的,但有相对加速运动趋势,我们就可以说他们之间受到了作用力。
设想一下,如果在中国,一个人手里拿一个小球,在某一个时刻,这个人把小球放下,小球从静止状态加速撞向地球,按照前面的看法,也可以说小球始终是静止在空间中的,是地球撞上小球。
也许有人反驳,我们同时在我们对称的国家----巴西放一个小球,岂不是小球要加速地飞向空中?
这个反驳其实是需要一个前提:
空间是静止和不动的,一切物体像鱼儿那样在静止的空间海洋里存在和运动,空间的存在与质点的运动是不相干的。
关键的关键是:
空间本身是时时刻刻在运动、变化的,空间和质点的运动是紧密的联系在一起的。
我们手里拿着一块石头,然后放下,石头从空中向地球的地心自由落体运动。可以说,石头是静止在空间中,随空间一同向地心坠落。
如果我们能够把空间染上颜色,在没有石头的情况下,空间仍然时刻不停的从四面八方向在向地球中心加速地坠落。
这个就是我们用语言描述的万有引力的本质。
本文中我们还将用严格的数学方法,来描述以上我们关于万有引力的本质的认识。
二, 传递万有引力的介质是什么
月球围绕地球旋转,地球是通过什么东西把引力传给月球的?
如果认为地球通过一个特殊的物质把引力传递给月球,那这个特殊的物质能不能由微小的东西构成?如果是由一些更小的东西构成,引力又是怎么在这些微小东西的空隙之间传递?
如果介质不能够分成许多微小的东西,内部构造是无限连续的,这种介质的性质是怎么来的?这样我们很难理解这种特殊的介质。
本文认为宇宙中任何物体都可以影响周围空间,进而影响存在于空间中的物体。
物体是首先通过影响周围空间,然后再影响空间中存在的物体,来相互作用的。
空间本身时刻在运动着,地球是通过空间把引力传递给月球的,物体之间的相互作用力的介质就是空间。
引力只是一种性质,月球和地球以及宇宙万物相对于我们观察者具有相对加速运动、或者相对加速运动趋势,我们就可以说它们之间有相互作用力。
三,宇宙到底有哪些东西构成
统一场论的基本假设为:
宇宙由物体和空间组成,不存在第三种与之并存的东西。其余【包括时间】都是我们观察者对物体运动和空间本身运动的描述。
如果没有观察者的描述,宇宙只是剩下空间和物体,其余统统不存在。
所谓的暗物质、暗能量、上帝粒子、引力子、以太都是不存在的。
四,事和物的区别是什么
像我们眼前的一棵树,一条河,一座山,是物,树的生长,河水的流动,这些是事。
宇宙中,质点和空间是“物”,其余的像时间、位移、质量、电荷、场、能量、速度、动量、力、温度、声音------都是“事”,是“物”相对于我们观测者运动时,经我们观察者描述出的一种性质。
脱离了观察者,事是不存在的,但是,物仍然存在,这个是事和物的主要区别。
五, 物理概念是怎么产生的
宇宙由空间和质点构成,一切物理现象都是质点相对于我们观察者在空间中运动的或者质点周围空间本身运动形成的。
我们观察者对物理现象总结概括便形成了物理概念。
时间、万有引力场、电磁场、核力场、光速、电荷、质量、能量、动量、力、声音、热---的本质都是质点在空间中运动或者质点周围空间本身运动,经过我们观察者描述出的一种性质。
六,如何描述空间本身的运动
讲到空间本身的运动,我们如何定性定量的去描述空间本身的运动?
我们把空间分割成许多小块,每一块叫空间几何点,简称空间点,空间点走过的路线叫空间线。通过描述这些空间点的运动就可以描述空间本身的运动。
七,宇宙中的物体和空间为什么要运动
物理学是我们人对几何世界【由空间和物体组成】的描述,物理和几何有着对应性。一个物理现象总可以找到相应的几何状态。
在物理学中我们描述的运动状态,和几何中的垂直状态是相对应的。
运动状态其实就是我们观察者对几何中的三维空间的垂直状态【就是过三维空间任意一点最多可以作三条相互垂直的直线】描述的结果。
宇宙中任何一个物体,周围空间三维垂直状态中的任意一个空间点,其位置相对于我们观测者一定要运动,并且不断变化的运动方向和走过的轨迹又可以重新构成一个垂直状态。
这个可以叫垂直原理。
不断变化的运动方向一定是曲线运动,圆周运动最多可以作两条相互垂直的切线,而空间是三维的,其运动轨迹上的任一点一定可以作三条相互垂直的切线。
我们应该合理的认为空间的运动是连续的,所以运动一定会在圆形平面的垂直方向上延伸,合理的看法是空间空间点以圆柱状螺旋式在运动。
归根结底,物体运动的原因是空间本身运动造成的。物体存在于空间中因为空间本身的运动影响而运动。
我们需要注意的是,空间运动是指物体周围空间的运动,脱离物体,谈论单纯的空间运动是没有意义。
没有观察者,或者不确定哪一个观察者,谈论空间的运动也是没有意义的。
八,基本假设
宇宙中一个任何物体【包括我们观察者的身体】相对于我们观察者静止时候,周围空间都以物体为中心、以圆柱状螺旋式【旋转运动和旋转平面垂直方向匀速直线运动的合成】、以矢量光速度C【统一场论认为光速可以为矢量,用
(数量或模、或标量为c ,c不变)表示,矢量光速
的方向可以变化】向四周发散式运动。
这种螺旋式运动是右手螺旋。

上图的物体周围空间运动以圆柱状螺旋式向四周发散。
从以上假设看,宇宙大爆炸理论是错误的,宇宙没有开始,没有结束,宇宙本来就存在着。
现代的宇宙大爆炸理论强力证据是——空间相对于任意一个观察者在膨胀是怎么一回事?
空间膨胀的真正原因是宇宙中任意一个物体,包括任意一个观察者,周围空间都以光速、以圆柱状螺旋式向发散运动,空间中存在的星球也离开我们观察者运动。
那月球、太阳为什么没有以光速远离我们观察者运动?
这里还有一个制约因素,就是与物体、星球一开始的最初运动状态有关。
比如地球,一开始就和我们观察者保持静止状态,月球一开始和我们保持接近于静止状态【和光速比起来】。只有非常遥远的星球,与我们观察者关系不大,远离我们的速度就很快。
九,宇宙空间为什么是三维的
我们知道,沿空间中任意一点最多可以作三条相互垂直的有向直线,称为三维空间。为什么恰巧是三条,不是二条,也不是四条?
这个原因是空间运动造成的,空间如果是直线运动产生的是一维空间,空间如果是曲线运动产生的是二维空间,真实情况是空间在以圆柱状螺旋式运动,所以产生的是三维空间。
空间三维的原因是空间时刻以圆柱状螺旋式运动造成的。
由于空间的三个方向是平权的,没有哪一个方向是特殊的,空间运动的时候,在三个方向上都要运动,加上运动的连续性,造成了空间只能以圆柱状螺旋式运动。
或者说空间以圆柱状螺旋式运动形成了三维空间,这两种说法,是互为因果的。
我们所生活的空间是右手螺旋空间,也就是右手大拇指指向空间的直线运动方向,右手四指头环绕方向就是空间的环绕运动方向。
至于宇宙中有没有左手螺旋空间,从逻辑上分析是没有的,假设存在了左手螺旋空间,会受到普遍的右手螺旋式空间的排斥,亿万年后,会被排斥到宇宙无穷远处,就是有,我们也是无法发现。
两个右手螺旋式空间【正面对我们观察者都是逆时针旋转】相互碰撞,旋转相互接触地方空间会减少,表现为相互吸引,而左手螺旋空间和右手螺旋空间相遇,会相互排斥。

不排除人类未来可以人为的制造左手螺旋空间。
我们生活所在的宇宙空间是右手螺旋式空间。
至于为什么是这样的?只能说我们所生活的宇宙中,右手螺旋是正面的,右手螺旋式具有普遍优势。
数学上,格林公式和斯托克斯定理认为,我们在某一个曲面上一边走,一边向左转,最后走了一个圆周线,如果我们右手四指环绕方向和我们走的圆周线方向一致,则这个圆周线包围的曲面的正方向就是我们右手大拇指方向
正、负电荷周围空间也是右手螺旋空间,只是正电荷周围空间是发散的,

负电荷周围空间是收敛的。

十,脱离观察者谈论运动是没有意义的
相对论认为时间、位移、力、质量等很多物理概念是相对的,对于相互运动的不同观测者来测量可能有不同的数值,这“相对”两个字延伸一下,就是相对于我们观测者而言。
如果没有观测者,或者不指明那一个观测者,时间、位移、力、质量---许多物理概念失去了意义。
由于时间、位移、力、质量---这些物理概念来自于质点相对于我们观测者在空间中的运动、或者周围空间本身的运动,所以讲,脱离观测者(我们人)描述运动是没有意义的。
咋一看,以上看法好像是一种唯心主义,不过,唯心主义认为一旦没有观测者,没有人,一切都没有了,这个也是不对的。正确的看法应该是这样的:
宇宙中所有的运动都是相对于我们人而言的,一旦没有了人,宇宙给我们的景象就像照相机照相的一个定格镜头,而不是不存在。
物理学中的运动状态从几何的角度看就是垂直状态,是同一个现象我们观测者从不同的角度看出现不同的结果。
运动状态是我们人对物体在空间中的位置不断肯定、否定、肯定、否定、肯定、否定---这样描述的结果。
就单说,如果没有我们观察者,不存在运动状态,但也不存在静止状态,讨论运动还是静止是没有意义的。
有人认为,在没有人类之前的宇宙照样在运动,所以运动的存在与人是没有关系的。
其实“没有人类之前”这句话是一个病句, “没有人类”就已经把人排除了,你怎么能够又用人来定义之前?
没有了人类,哪来的没有人类之前?因为之前或者之后都是依靠人来定义的。
同样的道理,没有我们人,哪来的前后,上下左右,东西南北?哪来的先后?
注意,物理学中描述的运动,空间、质点、观测者三个东西一个都不能少,否则,运动就失去了意义。描述时间的变化有点特殊,观测者和质点实际是一个东西。
描述空间本身的运动,需要依靠质点作为运动的开始点或者结束点。
描述质点的运动,需要了解质点在空间位置的变化情况。
人类对运动的认识有一个发展的过程。
牛顿力学认为描述一个物体的运动,必须要找一个认为是静止的参照性物体,作为参照物,运动的描述强调了在某一段时间里物体在空间中走过的路程。
牛顿力学认为时间和空间的长度的测量与观测者的运动没有关系。
相对论继承了牛顿力学基本看法,但是相对论强调了不同的观测者,测量的时间、空间、质量、力等某些物理量的数值可能是不同的。
相对论认为时间和空间长度的测量与观测者的运动速度有关系。低速时候,关系不明显,接近光速时候,特别明显。
统一场论认为:描述运动必须要相对于一个确定的观测者,没有观测者、或者不指明那一个观测者,描述运动是没有意义的。选择一个参照物描述运动有时候是不可靠的。
十一,为什么说物体周围空间逆时针旋转运动产生了万有引力
宇宙任何物体,周围空间时刻以圆柱状螺旋式在运动,圆柱状螺旋式运动是旋转运动和旋转平面垂直方向的直线运动的合成。
电磁场、万有引力场、核力场合在一起是一个圆柱状螺旋式运动空间,而万有引力场属于圆柱状螺旋式中旋转指向旋转中心加速度运动那部分。
又因为我们生活的空间的旋转运动都是逆时针旋转,因而某些情况下,可以简单的说万有引力场和万有引力是物体周围空间逆时针旋转运动造成的。
太阳周围8大行星围绕太阳逆时针旋转就是这个原因。
十二,时间的本质和物理定义
一切物理概念都是我们观察者对质点在空间中运动或者质点周围空间本身的运动的描述。
很多物理概念来源是:
质点在空间中运动给我们人的一种感觉,我们观察者对这些感觉加以分析概括而产生物理概念。
时间也可以认为某某东西在空间中运动给我们人的一种感觉。什么东西在空间中运动给了我们时间的感觉?
我们把一个人用宇宙飞船送到几百亿亿亿光年远的一个空间区域里,把这个人丢下来后,飞船立即飞回来。
这个空间区域里别的星球离得都非常非常的遥远,可以设想,这个人仍然有时间的感觉?是什么质点运动使这个人有了时间的感觉?这个情况下,仅有这个人的身体而已。
正确合理的看法是:
时间是我们观测者对自己身体在空间中运动的一种感受。
宇宙中任何物体【包括观察者的身体】静止时候,周围空间都以以圆柱状螺旋式、以矢量光速度C向四周发散运动。
因而可以认为时间与观测者自己在空间中以光速直线移动的路程成正比。
借助空间点的概念,可以认为:
时间是我们观测者周围空间以光速向四周发散式运动给我们人的感觉,与我们观察者周围空间几何点以光速走过的路程成正比。
有人认为,在没有人类之前的宇宙照样有时间,所以时间是人的感觉的观点是错误的。
其实“没有人类之前”这句话是一个病句, “没有人类”就已经把人排除了,你怎么能够又用人来定义之前?
没有了人类,哪来的没有人类之前?因为之前或者之后都是依靠人来定义的。
同样的道理,没有我们人,哪来的前后,上下左右,东西南北?哪来的先后?
“时间”恰恰是人对自己身体周围空间的运动的描述而产生出来的一个物理概念。
十三,时间的物理定义与时空同一化方程
设想在某处空间区域里存在着一个质点o点,相对于我们观测者静止,我们以o点为原点,建立一个三维直角坐标系x,y,z,。
o点周围空间中任意一个空间点p在时刻t'从o点出发,经过一段时间t后,在t”时刻到达p点后来所在的位置x,y,z,也就是p点在t”时刻的空间坐标为x,y,z是时间t的函数,随时间t而变化,由o点指向p点的失径为R 。
R(t) =(x,y,z,t)
统一场论认为时间与空间点以矢量光速度C运动走过的路程成正比,因此有下式:
R(t) = Ct = x i+
y j + z k
i,j,k分别是沿x轴、y轴、z轴的单位矢量。
将上式两边平方,结果为:
r² = c²t²= x²+ y² + z²
r是矢量R的数量。以上方程在相对论中也出现过,相对论中被认为是四维时空距离,真实情况是时间的本质就是以光速运动的空间。
统一场论 认为p点真实走过的轨迹是圆柱状螺旋式,三维空间其中任意的一维,只要以光速相对于我们观测者运动,我们就可以把这一维空间叫做时间,相对论显然没有认识到这一点,这个明显是相对论的缺陷。
方程R(t) = Ct = x i+ y j + z k表示时间的本质就是光速运动的空间,所以,这个方程又可以叫时空同一化方程。
时间和空间其实是同一个东西,是因为我们人不知道时间的本质就是光速运动的空间,把光速运动空间给我们人造成的感觉用时间这个名词叫了出来。
由时空同一化方程R(t) = Ct = x i+ y j + z k可以得到一些有用的公式。将这个方程对时间t求导数:
dR/dt =
C= Cx + Cy + Cz
Cx , Cy
, Cz 分别是矢量光速C在x,y,z轴上的分量。
将上式对自身点乘,有:
dR·dR = c² dt dt
= cx ²+ cy ²+ cz ²
注意,dR既表示矢量径向方向的变化微小增量,又表示R因为方向变化,导致R的径向垂直的两个方向的变化增量。
十四, 场的严格定义
在数学中场的定义为:
若空间中(或空间的某一部分),每一个点对应一个确定的量,则称这样的空间为场,当空间中每一点所对应的量为数量时,则该空间为数量场,当空间中每一个点所对应的量是一个矢量时,则称这样的空间为矢量场。
从数学中场的定义可知,场是用空间的点函数来表示的,反之,若给出空间中某一个点函数,就给出了一个场。
在前面我们做了大量的分析,把万有引力场(简称引力场)、电磁场以及核力场与空间本身的运动联系了起来,认定物理上4大场:
引力场、电场、磁场、核力场的本质就是圆柱状螺旋式运动的空间。
由此,我们在这里把物理4大场给出一个统一的定义:
相对于我们观察者,质点o周围空间中任意一个空间几何点p,指向该质点的位移矢量R【简称位矢】随空间位置x,y,z变化或者随时间t变化,这样的空间称为物理场,也可以叫物理力场。
简单一句话,物理4大场本质就是运动变化的空间,这个也符合我们前面的统一场论基本原理:一切物理现象都是质点在空间中或者质点周围空间本身相对于我们观察者运动造成的。
从以上的定义可以知道,物理4大场都是矢量场,不同的场只是运动空间具有不同的性质。、由于出是空间以圆柱状螺旋式运动形成的,可以说4种出是这个螺旋式运动其中的一个片段,4大场合在一起,就是一个圆柱状螺旋式。
注意,场是质点周围空间相对于我们观测者运动变化所表现出的一种性质,空间、质点、观测者三个东西一个都不能少,否则,场就失去了意义。
十五, 引力场和质量的定义方程
引力场和质量的定义方程
在统一场论中,物体o点的质量m,表示了o点周围4π立体角度内以光速、以圆柱状螺旋式发散运动空间位移的条数。
o点在周围产生的引力场A,表示了穿过包围o点的高斯球面s上,以光速发散运动的空间位移的条数。
1,引力场的定义方程:
设想有一个质点o相对于我们观测者静止,周围空间中任意一个空间点p,在零时刻以矢量光速度C从o点出发,以圆柱状螺旋式沿某一个方向运动,经历了时间t,在t'时刻到达p后来所在的位置。
我们让点o处于直角坐标系xyz的原点,由o点指向p点的矢径R由前面的时空同一化方程R = C t = x i+ y j + zk给出:
R是空间位置x,y,z和时间t的函数,随x,y,z,t的变化而变化,记为:
R = R(x,y,z,t)
注意,p点在空间中走过的轨迹是圆柱状螺旋式,我们也可以认为是R的一个端点o不动,另一个端点p运动变化,使得R在空间中划过一条圆柱状螺旋式轨迹。
我们以 R = Ct中R的标量长度r为半径,作高斯球面s = 4πr²【在普遍情况下,高斯球面可以不是一个正球面,但是,球面是连续的、不能有破洞】包围质点o。
我们把高斯球面s = 4πr²均匀的分割成许多小块,我们选择p点所在的一小块矢量面元ΔS【ΔS方向我们用N来表示,其数量为曲面Δs】,我们考察发现Δs上有Δn条类似于p的空间点的位移矢量垂直的穿过。
注意:高斯球面s的半径也可以不等于R的标量长度,我们设定是相等的,好处是使考察点p恰巧落在高斯球面s上。
这样,o点在空间p处产生的引力场A【数量为a】:
a = 常数乘以 Δn/Δs
上式给出的引力场定义简单明了,但过于粗糙,不能把引力场矢量性质表现出来,也没有把以矢量光速运动的空间位移R带进式子中去。
为了达到以上目的,我们主要考察p点周围情况。
p点的矢量位移R = C t垂直的穿过ΔS,普遍情况下,矢量位移R = C t可以不是垂直的穿过ΔS,可以和矢量面元ΔS的法方向N有一个夹角θ。
在o点相对于我们观察者静止,o点周围空间的运动是均匀的,没有那个方向是特殊的,而且,我们使用的高斯球面是一个正圆球面,在这些条件限制下,矢量R = C t才是垂直穿过矢量面元ΔS。
这样,o点在周围空间p点处产生的引力场A【矢量形式】可以写为:
A = -
g kΔn(R/r)/Δs
式中g是万有引力常数,k是比例常数。注意,A和由o点指向空间点p的位矢R方向相反。
设想o点周围有n条类似于R的空间位移矢量,以o点为中心,呈辐射状分布,但是,任意两条的方向都不一样。
n乘以R = nR的物理意义表示n条空间位移的方向都是一样的,叠加在一起。
所以,当以上的R为矢量,只有Δn=1的情况下,才具有物理意义。但是,我们要注意n 乘以r【r是R的数量】中,当n是大于1的整数仍然具有物理意义。
所以有式:
A = -
g kΔn(R/r)/Δs = -
g k(R/r)/Δs
由于R/r = ▽r
▽是哈密顿算子。
所以,上式也可以写为:
A = - g kΔn(R/r)/Δs = - g k ▽r/Δs
上式中为什么用R的单位矢量R/r,而不是直接用矢量R?
是因为我们在高斯球面s上只能考察矢量R的方向和条数,而不能考察矢量R的长度,所以Δn R/Δs这个式子是没有物理意义的。
如果R不完全是垂直穿过矢量面元ΔS【数量为Δs】,和矢量面元的方向N具有一个角度θ,当空间点的位移R的条数n设定为1的时候,以上方程也可以用矢量点乘公式来表示。
A·ΔS = - a Δs cosθ = -
g kΔn
上式中a是引力场A的数量。
引力场A 是由大小和方向余弦两个量决定的。
大小是指光速运动空间位移R在高斯球面s上分布的密度(1/Δs)。
1/Δs或者Δn/Δs是含两个自变量的函数,随Δn和Δs变化而变化。
方向余弦是ΔS的法方向N和R的夹角θ的余弦,也就是cosθ。
方向余弦cosθ是只含一个自变量的函数,这个函数随θ变化而变化。
式a = 常数乘以Δn/s和A = - g kΔn(R/r)/Δs这两个式子的物理意义告诉我们,高斯球面s=4πr²其中一小块矢量面元ΔS上,垂直穿过空间矢量位移R【R = C t】的密度反映了该处的引力场强度。
我们将式A = - g k Δn(R/r)/Δs中的Δs用立体角Ω和高斯球面的半径r来表示,也就是Δs =
Ωr²。
A = - g k Δn(R/r)/ Ωr²
= - g k ΔnR/Ω r³

上图中,我们将高斯球面中的一小块矢量面元Δs用ds表示。则:
ds =
r dθ r sinθ dφ
= r² dθ sinθ dφ = r²dΩ
2,质量的定义方程
质量的本质是什么?质量和引力场是什么关系?
由于质量的概念起源于牛顿力学,我们把以上统一场论引力场几何形式的定义方程A = - g k ΔnR/Ω r³,和牛顿力学引力场方程A
= - g m R/r³相比较,可以得出物体o点的质量定义方程应该是:
m = kΔn/Ω
微分式为:
m = k dn /dΩ
由于空间可以无限分割,所以,以上的n的微分,也就是dn 有意义的。
以上k是常数。对上式右边环绕积分,积分区域在0和4π之间,则:
m = k∮dn / ∮dΩ =k n /4π
上式的物理意义是:
o点的质量m表示周围立体角4π内分布有n条空间位移矢量R = C t。
以上m = k/dn /dΩ是质量的几何形式定义方程。
在很多种情况下,我们将n设定为1,可以得到质量的简化定义方程:
m = k /Ω
我们一旦知道了质量的本质,就可以对牛顿力学中的引力场方程A = - g m R/r³做出解释。
按照牛顿力学,我们以地球【用o点表示,我们观察者站在地球上】为例,地球上空一个卫星【用p点表示】,由o点指向p点的位置矢量【间称位矢】用R【数量为r】表示。
则o点在p点处产生的引力场A = - g m R/r³, 表示在以半径为r的高斯球面s = 4πr²上,分割了一小块矢量面元ΔS,ΔS上穿过了1条矢量R ,并且,R和A方向相反。
ΔS的数量Δs的倒数反映了引力场的大小,ΔS的反方向就是引力场的方向。
我们需要注意的是,统一场论的引力场方程,反映了某一个瞬间,或者是某一个时刻的情况。
对统一场论的静止引力场A = -
g k Δn R/Ω r³求旋度,在Δn和Ω是常数【也就是质量为常数】的情况下,结果为零:
▽×A = 0
对静止引力场A =
- g k Δn R/Ω r³求散度,在(m = kΔn/Ω)是常数的情况下,结果也为零:
▽·A = 0
但在r趋近于零【也可以说空间点p无限趋近于o点】,且o点可以看成一个无限小的球体的情况下,式子出现了0/0的情况,利用狄拉克δ函数,可以得到:
▽·A =4π g u
g是万有引力常数,u = m/ΔxΔyΔz是物体o点的密度。
统一场论给出的引力场定义方程的旋度和散度,和牛顿力学给出的引力场的散度、旋度是一致的。
4,从质量定义方程导出相对论质速关系
相对论用动量守恒和相对论速度变换公式,可以导出相对论质速关系——质量随物体运动速度增大而增大。
相对论又用质速关系推导出相对论质能方程,所以,质速关系很重要。
下面我们用质量的定义方程直接来导出质速关系。
设想一个质量为m’的质点o,一直静止在s’系的坐标原点o’上。
s系相对于s’系以匀速度V【标量为v】沿x轴正方向运动,并且s系的x轴和s’系的x’轴相互重合。
在s系里的观察者看来o点的质量为m,我们用以上的质量几何定义方程 m∮dΩ =k ∮dn来求出V和m、m’之间满足的数学关系。
当o点运动的时候,我们应该合理的认为,不会引起空间点矢量位移R的条数n的变化,只是有可能引起立体角度Ω的变化,所以,我们只要求出运动速度V和Ω之间满足的关系,就可以求出m’和m之间的关系。
立体角Ω的定义为:
在以o点为球心、半径r =
1的球面s上,分割一小块Δs,以Δs为底面,以o点为顶点,构成一个圆锥体h,则Δs等于圆锥体h的立体角。

锥体h的立体角Ω大小为椎体的底面积Δs与球的半径r平方之比,当Δs无限的小,变成了ds,有:
dΩ = ds/r²
当r = 1时候,上式变成了dΩ = ds。
以上是用椎体的底面积来定义立体角,现在我们把以上的立体角定义推广,用椎体的体积来定义立体角。
在以o点为球心、半径r =
1的球面s上,分割一小块Δs,以Δs为底面,以o点为顶点,构成一个圆锥体h,则圆椎体h的体积Δv等于圆锥体h的立体角。
圆锥体h的立体角Ω大小为椎体的体积Δv与球的半径r立方之比,当Δv无限的小,变成了dv,有:
dΩ = dv/r³
当r = 1时候,上式变成了dΩ = dv。
有了以上的准备知识,我们来考虑以上的o点在s’系里,静止时候质量
m’ = k∮dn/∮dΩ’
我们用一个半径为1的单位球体积,在其中分割一个顶点在o点上、体积为dv’的圆锥体,替代上式中的dΩ’,则:
m’ = k∮dn/∮dv’
相应的在s系里,o点以速度V【标量为v】匀速直线运动的时候,质量
m = k∮dn/∮dv
注意,n在s’系和s系里是一样的,也就是o点的运动速度V不能改变几何点位移的条数n。
我们只要求出dv’= dx’dy’dz’和dv = dx dy dz之间的关系,就可以求出m和 m’之间的关系。
根据相对论中的洛伦兹正变换【因为我们默认了观察者我在s系里,质点o相对于我在运动】:
x’ = (x - vt )/√(1- v²/c²)
y’ = y
z’ = z
t’ = (t - v x/c²)/√(1- v²/c²)
得出微分式:
dx’ = dx/√(1- v²/c²)
dy’ = dy
dz’ = dz
由此得出:
m’ = k∮dn/∮dv’ = k ∮dn/∮dx’dy’dz’
m = k ∮dn/∮dv = k∮dn/∮dx dy dz
由∮dx’dy’dz’
= ∮dy dz dx/√(1- v²/c²)
可以导出:
m’= m√(1- v²/c²)
当o点以速度V运动的时候,质量增大了一个相对论因子√(1- v²/c²),这个结果和相对论是一致的。
十六, 引力场的三种形态
由于引力场、电磁场和核力场的本质是三维空间本身【相对于我们观察者】运动的运动量关于时间或者空间位置的导数,我们可以说在某一个三维立体范围内空间的运动量是多少,某一个二维平面内空间的运动量是多少,某一个以为曲线内空间运动的运动量是多少。这样,相应的引力场有三种形式:
1,引力场在三维立体上的分布。
2,引力场在二维曲面【包括平面】上的分布。
3,引力场在一维曲线【包括直线】上的分布。
注意以上1中,三维立体空间虽然看起来不是矢量,但是,在实际应用中,要考虑三维空间的矢量性,场论中的散度,用正方体的相互垂直的三个面的垂直线作为三维空间的方向。
三维空间还具有正负,物体周围空间向外发散运动是正空间,物体周围空间向内收敛运动,则是负空间。
以上2 中曲面可以是有方向的,曲面的凸面方向是正,凹面为负。
以上3中曲线也是可以有方向的。
对于引力场,有三维立体空间中引力场分布的微分和积分方程。
有二维曲面中引力场分布的微分和积分方程。
有一维曲线中引力场分布的微分和积分方程。
高斯散度定理可以描述引力场在三维立体空间分布和在曲面上分布之间的数学关系。
而斯托克斯旋度定理可以描述引力场在曲面上分布和曲线上分布之间的数学关系。
描述引力场在三维立体空间中分布和曲线之间的分布之间的数学关系是梯度定理。
由于引力场的本质是空间位移量n R关于时间t的导数,或者是三维空间体积dxdydz、二维空间曲面S、一维空间曲线L的导数。
我们可以借助与时空同一化方程R(t) = Ct =
x i+ y j + z k,可以很方便的由空间位移量关于时间的导数的场方程形式,导出空间位移量关于空间位置量的导数的场方程形式。
反过来,也是同样的。
时空同一化方程可以解释光速不变、电磁场、引力场的高斯定理、变化电场产生磁场、变化磁场产生电场以及空间波动方程等,时空同一化方程的基础性以及强大优势是现代物理学完全没有认识到的。
十七,力的本质和严格定义
力定义为:
相对于我们观察者,力是物体在空间中运动【或者物体周围空间本身运动】的运动量和方向在某一个空间范围内【或者某一个时间内】的改变量。
十八, 解释牛顿三大定理
牛顿力学包括三大定理和万有引力定理。
牛顿力学三大定理表述为:
1,任何物体【或者质点】试图保持匀速直线运动状态或者静止状态,直到有外力改变为止。
2,物体受到的作用力使物体加速运动时,所产生的加速度与受到的作用力成正比,与这个物体的质量成反比,且加速度方向和作用力方向一致。
3,一个物体对另一个物体施加作用力总是受到另一个物体大小相等方向相反的反作用力。
牛顿力学按照现代的看法应该是相对于某一个观察者的情况下才成立。
牛顿把物体的质量m和运动速度V定义为动量P = mV ,
仔细的分析一下,牛顿力学核心就是动量概念,动量概念最早就是来自于牛顿力学,我们现在用动量概念把牛顿三大定理重新表述一遍。
1,相对于某一个观察者,空间中任何一个质量为m的质点都试图保持一个确定的动量mV,V为这个质点沿某一个方向直线运动的速度,也包括速度为零【动量肯定同时为零】的静止状态。
2,质点受到了外力的作用,会使动量发生变化,动量P随时间t的变化率就是外力F= dP/t = d(mV)/dt = m A
3,质点的动量是守恒的,在一个孤立的系统中,质点相互作用时,一个质点获得的动量总是另一个质点失去的,而总的动量是不变的。
在牛顿力学中认为质量m是不变量,而相对论认为质量是可以变化的,但是,相对论继承了牛顿力学的其他一些看法。
相对论的动量公式和牛顿力学形式是一样的,只是相对论中质量m可以是变量。
统一场论揭开质量的本质,因而可以彻底解释牛顿力学。
按照统一场论的看法,牛顿三大定理可以进一步理解为:
1,相对于我们观察者,任何一个物体周围空间本身都以矢量光速C向外发散运动,在立体角4π范围内,光速运动空间位移的条数n,就是这个物体的质量m
= k n/4π。所以,物体静止时候具有一个静止动量mC, 当我们试图让这个物体运动,必须要施加一个动量【质量乘以速度,】,使mC发生变化。
2,力是改变物体周围空间以矢量光速C发散运动、以速度V运动的运动状态的原因,也是使动量发生变化的原因,所以,我们用动量对时间求导数,来表示力。
力定义为:力是物体在空间中运动【或者物体周围空间本身运动】的运动状态在某一个空间范围【或者某一个时间内】的改变量。
3,动量是物体在空间中的运动量(mV)和物体周围空间本身运动(mC)的运动量的合成m(C-V),是一个守恒量,相互运动的观察者测量到的动量的形式不一样,而总的动量的数量不变,与观察者的观察无关。
十九,证明惯性质量等价于引力质量
牛顿力学认为,惯性质量反映了物体不容易被加速的程度,而引力质量反映了加速别的物体的能力。
在以上的质量为m的o点,相对于我们观察者静止情况下,相距r远的地方如果有一个质量为m’的p点,受到o点的引力F的作用,会使p点有一个指向o点加速度 -
A,并且
F= - (g m
m’/r²)
F= - m’A
牛顿在没有给出解释的情况下,把式F= - m’A中的惯性质量m’和式F= - (g m
m’/r²)【R】中的引力质量m’等同起来,便有了下式:
A= -(g m /r²)【R】
r是R的数量,【R】是R的单位矢量。这个就是人们常说的惯性质量等价于引力质量。
如果我们证明了p点指向o点加速度A,等于o点在p点处产生的引力场,就可以证明惯性质量等价于引力质量。
下面我们来给出证明。
前面给出的引力场方程A = - g k n
R/Ω r³中 ,为了便于分析问题,我们令光速运动空间位移矢量R = C t的条数n为1,由o点指向p点的位矢,我们就用R来表示,则引力场方程为:
A= - g k R/Ωr³
以上方程中,我们令R的数量r不变,只是方向在变化,这样,引力场A变成了光速运动空间位移R的方向和立体角Ω之间的对应变化。
Ω是包围o点的高斯球面s= 4πr²上的一个立体角,在r取固定值的情况下,Ω的大小正比于R·R = c²t²。
因为R的数量r虽然不变,但是,R 是矢量,可以通过垂直于R径向的两个方向的变化,在高斯球面s上画出一个面积来,而这个面积正比于Ω。因为Ω的大小等于高斯球面s = 4πr²(r设定是1或者是常数)上的一块面积。
所以,有:
A= -
g k R/ c²t²r³
由于g , k ,c, r都是常数,合并常数,得到:
A = - 常数乘以 R/ t²
将R和t²对t两次求导数得:
A= - 常数乘以 d²R/ dt²
由于牛顿力学是人类历史上最早诞生的力学体系,所以,以上常数可以设定为1,就如同牛顿第二定理比例常数可以设定为1。所以,有:
A= - d²R/ dt²
证明完毕。
二十,导出万有引力的公式
我们观察者站在地球上,随手放下一块石头,这个石头没有受到别的作用力,只是受到地球的万有引力的作用,从静止状态开始做自由落体运动,向地球中心坠落。
按照统一场论的看法,当没有这个石头,石头所在的空间仍然以石头这种方式向地球中心坠落。
如果能够将空间染上颜色的话,你会看到空间时刻不停的向地球中心坠落,这个就是万有引力的本质。
我们把这个石头设定为p点,用m表示石头的质量,地球设定为o点,用m’表示地球质量。
按照我们前面对牛顿三大定理的解释,p点受到o点的引力F可以表示为:
F = m A
在前面的惯性质量等价于引力质量证明中,我们知道地球在p点产生的引力场A(空间本身指向地球的加速度运动)和p点的加速度(物体在空间中加速度运动)是等价的,这样:
A = - g m’R/r³
上式中g为万有引力常数,R是由o点指向p点的位置矢量,r为o点到p点之间的距离。
由式F = - m A和A = g m’R/r³导出万有引力公式:
F = - g m m’R/r³
由于万有引力指向观察者,和位矢方向相反,所以为负值。
以上告诉我们,万有引力的本质来自于相对加速度运动,相互作用力本质也是一种惯性力。
我们把地球周围引力场A = -
g m’R/r³看成是地球周围空间的运动程度,地球周围如果突然出现了另外一个质点p,质点p周围空间也会有地球周围空间同样的运动,这样,会引起地球周围引力场A = - g m’R/r³发生变化。
我们把地球受到p点的引力F理解为p点的质量m【m 正比于n/4π】使地球周围引力场发生变化的变化程度,
变化程度肯定是在角度为4π范围内,改变了n条
A = g m’R/r³,所以,
F = - 常数乘以n/4πg( m’R/r³)= - g m m’R/r³
按照牛顿力学,我们地球【用o点表示】上空一个卫星【用p点表示】围绕地球以正圆旋转运动,在某一个时刻,由p点指向o点的加速度A,就是地球在p点处产生的引力场。
我们可以设想这个卫星很小、很小,其指向地球的加速度A仍然可以表示p点所在地方的引力场大小和方向。
按照统一场论的思想——场是空间本身的运动,当我们把卫星拿走,仅仅是卫星所在的空间点【我们仍然用p表示】围绕地球旋转,其指向地球的加速度仍然可以表示空间点p所在的引力场大小和方向。
我们用R表示由o点指向p点的位置矢径,则R和A成正比关系,但方向相反,满足以下关系:
A = - k R
k是常数。以上方程表示静止物体在周围产生的引力场是梯度场。
由于引力场等价于加速度,我们知道加速度和位移成正比,但方向相反,就是一个波动过程。
这个表明,引力场具有波动性。这种波动是空间本身的波动,是一种螺旋波,也是横波,波动方向和振动位移方向垂直,波动速度是光速。
如果矢径R的大小不变,仅仅是方向的变化,一端固定,一端环绕一周,则:
∮A·dR = 0
以上表示,静止物体在周围空间产生的引力场是保守场。
把以上思想推广,我们在地球表面放开手里的一块石头,石头由静止状态开始向地球中心加速地坠落。如果没有石头,石头所在的空间,仍然在以石头那种方式向地球中心加速坠落。
如果我们能够将地球周围空间染上颜色,我们将看到空间时刻不停的从四面八方向地球中心坠落。
这个就是引力场的本质。从空间圆柱状螺旋式运动来看,引力场就是空间圆柱状螺旋式的旋转运动第一圈指向中心的加速度那部分。
二十一,推导出空间的波动性
前面指出,物体周围空间以圆柱状螺旋式向四周发散运动,质点外空间点的矢量位移随空间位置变化、又随时间变化。
物理量【这里是质点外的空间点的位移量】随空间位置变化又随时间变化,可以认为具有波动过程。
我们知道,波动和圆柱状螺旋式运动有很大的区别,波动是振动的形式在媒质中的传播,而不像螺旋式运动是质点在空间中位置的移动。但是对于空间这个特殊的东西,两种运动却可以兼容。
一个空间点运动不会有波动效应,但是,一群空间点情况就不一样了。
另外,由于一个空间点和另外一个空间点绝对没有区别,因而可以断定,空间的圆柱状螺旋式运动中包含了波动形式。
下面我们由前面的时空同一化方程R(t) = Ct = x i+
y j +z k 来推导出时空的波动方程。
设想宇宙空间某一处存在一个质点o,相对于我们观察者静止,根据前面的时间物理定义和时空同一化方程,o点和观察者的时间t可以用o点周围一个空间点p的位移R(t) = Ct = x i+
y j +z k 来表示。
我们将R对时间t求导数,有结果:
dR/dt = C
将上式两边平方,有结果:
(dR/ dt)·(dR/dt )= c ²= dr dr/dt dt
c是矢量光速C的标量,r是R的标量。
我们现在来考虑另外一个空间点p',
p'点在o点周围运动,我们用L表示其位移,L随时间t变化,是时间t的函数,由R和t的关系可以断定L又是R的函数。
我们将空间点p'点的位移L对对空间位移R的数量r两次求导数,有结果:
∂²L/ ∂r² = ∂²L/ c ² ∂t²
∂²L/∂x² + ∂²L/∂y² +∂²L/∂z² = ∂²L/c²
∂t²
r是矢量R的数量。以上微分号d已经改为偏微分号∂。
对偏微分方程 ∂²L/∂t²=c²∂²L/
∂r²求解,通解为:
L(r, t) = f(t –
r /c)+g(t + r /c)
f和g表示两个独立的函数,方程 L(r,t) = f(t
- r/c)可以认为是空间点从质点o出发向外行进的波。
而方程 L(r,t) = f(t +
r/c)传统认为在物理学中是不存在的,被认为是从无限远处汇聚到o点的波。
对于普通介质,似乎是没有这种物理意义的,但是,对于空间这种特殊的介质,却有物理意义的。这个实际上可以解释负电荷的来源,这个以后详细再讲。
以上方程也包含了以o点为中心向四面八方直线运动形式,和从四面八方直线汇聚到o点的运动。这种运动可以看成是螺旋波动的振幅趋近于零的极限情况。
方程 ∂²L/∂t²=c²∂²L/
∂r²有两个特解L = a cosω(t–r/c)和L= a sinω(t–r/c)满足这个方程。
上面的波动速度c是光速,时空的波动是横波。
如果考虑运动的连续性,位移L在x轴、y轴上的分量Lx和Ly合在一起,在z轴的垂直平面上运动形式应该是一个圆。
所以,某些情况下,Lx和Ly 一个取余弦波,另一个就取正弦波。因此,有下面的圆柱状螺旋时空波动方程:
Lx = r cosω(t–z/c)
Ly = r sinω(t–z/c)
二十二,空间的波动性和引力场的关系
质量和引力场是空间波动的根源,电磁场是波动的传播,传播的速度就是光速。
考虑把几何点的位移推广到三维空间情况,也就是几何点的位移R[数量为r]不仅仅的随z轴的变化,同时又随x,y轴的变化,把x或者y改为r,相应的有波动方程:
∂²r/∂x² + ∂²r/∂y² +∂²r/∂z² = (∂²r/∂t²)/ c².
这个波动方程也可以表示为
▽²• r = (∂²r/∂t²)/ c².
由此,我们获得以下看法:物体周围空间的存在是一个波动过程,波动的速度就是光速,空间几何点的位移随时间变化和随空间位置的变化都可以反映出物体周围万有引力场情况,二者是等价的。
物体周围的万有引力场的传播具有波动性,波动的速度就是光速。
为什么是光速?
前面分析认为物体的质量和在周围产生的引力场都是物体周围空间光速运动造成的,万有引力是引力场的改变程度。
当这个物体的运动状态如果发生变化,变化形式肯定会以光速向外扩散,打个比方,我们用一个水龙头向四面八方喷水,我们将水龙头抖一下,使水流弯曲,这个弯曲的形式肯定会以喷水的速度向四周传播,所以万有引力的传播速度是光速。
第三章:揭秘电荷、电磁场的本质之谜
目录:
一,基本原理
二,基本假设
三,如何描述空间本身的运动
四,空间和物体为什么要运动
五,时间的物理定义
六,时空同一化方程
七,场的定义
八,引力场和质量的几何定义方程
1,引力场的定义方程
2,质量的定义方程
九,电荷和电场的定义方程
1,电荷的定义方程,
2,证明电荷的相对论不变性
3,电荷定义的一些问题
4,电场的几何定义方程
5,解释库仑定律
6, 正负电荷模型
十,磁场的定义方程
十一,磁单极子不存在
十二,速度乘以质量随时间变化率就是电磁场力
十三,推导出麦克斯韦方程组
静电场E’的旋度
2,静电场E’的散度
3,导出运动电场E的高斯定理
4,导出磁场的高斯定理
5,导出法拉第电磁感应定理
6,导出电流和变化电场产生磁场
十四,磁场为什么同极相斥、异极相吸
十五,正负电荷为什么能够相互抵消
本文出现的质点概念,是我们为了描述物体在空间中运动的方便,不考虑物体的形状和线长度,把物体理想化,看成一个点,称为质点。
本文中如果要讨论质点的体积和几何长度是没有意义的,因为违反了我们的约定。
本文只描述真空中质点的运动情况,不描述形状物体在介质中的运动情况。
百度 统一场论第7版,可以看到详细的背景分析。
统一场论认为场的本质是:相对于我们观察者,物体周围以圆柱状螺旋式运动的空间。

为了揭开电荷和电磁场的本质,我们首先要预备一些基础知识。
一,基本原理
宇宙由空间和物体组成,其余统统不存在,其余都是我们观察者对物体运动和物体周围空间本身运动的描述。
二,基本假设
相对于我们观察者,宇宙中任何一个物体周围空间都以矢量光速C【统一场论中,矢量光速C的方向可以变化,其模是标量光速c,c不变】、以物体为中心、以圆柱状螺旋式向四周发散运动。
空间以正电荷为中心,以矢量光速向四周无限远处发散运动。
空间从四面八方、从无限远处、以矢量光速向负电荷收敛运动。
三,如何描述空间本身的运动
我们把空间分割成许多小块,每一个小块叫空间点,空间点走过的轨迹叫空间线,通过描述空间点的运动,就可以描述空间本身的运动。
四,空间和物体为什么要运动
物理是我们人对几何的描述。
所以,物理上任何一个现象,总是有对应的几何形态。
物理上的运动现象对应着几何中的垂直状态。
几何中的空间三维垂直状态【就是过空间中任意一点可以作三条相互垂直的线段】,经过我们人的描述,就是物理上的运动状态。
任何一个处于空间三维垂直状态中的空间点所在的位置,相对于我们观测者一定要运动,并且不断变化的运动方向和走过的轨迹又可以重新构成一个垂直状态。
运动方向不断变化【z 运动是连续的情况下】肯定是曲线运动,常见的曲线运动有圆周和椭圆、抛物线、双曲线等。
在质点相对于我们观察者静止的情况下,质点周围空间的运动的分布应该是均匀的,不会有那一个方向是特殊的。
所以,合理的看法是空间点是圆周运动,不会是椭圆或者抛物线、双曲线等其他形式的运动。
由于空间是三维的,空间点的圆周运动不会局限在一个平面上,合理的看法是在平面的垂直方向上延伸。
所以,任意一个质点o点,在我们观察者看来,o点外空间任意一个空间点p总是以圆柱状螺旋式【就是旋转运动和旋转平面垂直的直线运动的叠加】在运动。
在统一场论中,物体运动的是由于空间本身运动导致的。
五,时间的物理定义
宇宙中任何物体【包括我们观察者的身体】周围空间都以物体为中心、以圆柱状、以矢量光速度C向四周发散运动,空间这种运动给我们观察者的感觉就是时间。
借助于空间点的概念,可以认为时间与观察者周围的空间点以矢量光速C走过的路程成正比。
六,时空同一化方程
由于时间t与空间点以光速c运动的空间位移R成正比,所以:
R(t) =ct【r】= xi + yj + zk
【r】是矢量R的单位矢量,i,j ,k 分别为沿x,y,z轴的单位矢量。
如果认为光速在某种情况下可以为矢量【用
表示,矢量光速方向可以变化,模c不变】,则:
R(t) =Ct= xi+ yj + zk
r² = c²t² = x²+y²
+ z²
七,场的定义
相对于我们观察者,由质点o指向周围空间任意一个空间几何点p的位移矢量R(x,y,z)随空间位置(x,y,z)变化或者随时间t变化,这样的空间称为场,也可以叫物理力场,或者叫物理矢量场。
以上是电场、磁场、引力场、核力场4大场的统一定义。
由于场是空间本身的运动,所以有,场在曲线上的分布,场在曲面上的分布,场在三维立体上的分布。
我们要认识到,同一个场,比如,电场在曲线上的分布和曲面上的分布,是不能直接相加或者相剪减的。
但是,一个电荷周围曲线上分布的电场有可能和曲面上分布的磁场直接相加或者相减。原因磁场可以看成电场的变化形式,而电场也可以看成是磁场的变化形式。
八,引力场和质量的几何定义方程
在统一场论中,物体o点的质量m,表示了o点周围4π立体角度内以矢量光速、以圆柱状螺旋式发散运动空间位移的条数。
o点在周围产生的引力场A,表示了穿过包围o点的高斯球面s上,以光速发散运动的空间位移的条数。
1,引力场的定义方程
设想有一个质点o相对于我们观测者静止,周围空间中任意一个空间点p,在零时刻以矢量光速度C从o点出发,以圆柱状螺旋式沿某一个方向运动,经历了时间t,在t'时刻到达p后来所在的位置。
我们让点o处于直角坐标系xyz的原点,由o点指向p点的矢径R由前面的时空同一化方程R = C t = x i+ y j + zk给出:
R是空间位置x,y,z和时间t的函数,随x,y,z,t的变化而变化,记为:
R = R(x,y,z,t)
注意,p点在空间中走过的轨迹是圆柱状螺旋式,我们也可以认为是R的一个端点o不动,另一个端点p运动变化,使得R在空间中划过一条圆柱状螺旋式轨迹。
我们以 R = Ct中R的标量长度r为半径,作高斯球面s = 4πr²【在普遍情况下,高斯球面可以不是一个正球面,但是,球面是连续的、不能有破洞】包围质点o。
我们把高斯球面s = 4πr²均匀的分割成许多小块,我们选择p点所在的一小块矢量面元ΔS【ΔS方向我们用N来表示,其数量为曲面Δs】,我们考察发现Δs上有Δn条类似于p的空间点的位移矢量垂直的穿过。
注意:高斯球面s的半径也可以不等于R的标量长度,我们设定是相等的,好处是使考察点p恰巧落在高斯球面s上。
这样,o点在空间p处产生的引力场A【数量为a】:
a = 常数乘以 Δn/Δs
上式给出的引力场定义简单明了,但过于粗糙,不能把引力场矢量性质表现出来,也没有把以矢量光速运动的空间位移R带进式子中去。
为了达到以上目的,我们主要考察p点周围情况。
p点的矢量位移R = C t垂直的穿过ΔS,普遍情况下,矢量位移R = C t可以不是垂直的穿过ΔS,可以和矢量面元ΔS的法方向N有一个夹角θ。
在o点相对于我们观察者静止,o点周围空间的运动是均匀的,没有那个方向是特殊的,而且,我们使用的高斯球面是一个正圆球面,在这些条件限制下,矢量R = C t才是垂直穿过矢量面元ΔS。
这样,o点在周围空间p点处产生的引力场A【矢量形式】可以写为:
A = -
g kΔn(R/r)/Δs
式中g是万有引力常数,k是比例常数。注意,A和由o点指向空间点p的位矢R方向相反。
设想o点周围有n条类似于R的空间位移矢量,以o点为中心,呈辐射状分布,但是,任意两条的方向都不一样。
n乘以R = nR的物理意义表示n条空间位移的方向都是一样的,叠加在一起。
所以,当以上的R为矢量,只有Δn=1的情况下,才具有物理意义。但是,我们要注意n 乘以r【r是R的数量】中,当n是大于1的整数仍然具有物理意义。
所以有式:
A = -
g kΔn(R/r)/Δs = -
g k(R/r)/Δs
上式中为什么用R的单位矢量R/r,而不是直接用矢量R?
是因为我们在高斯球面s上只能考察矢量R的方向和条数,而不能考察矢量R的长度,所以Δn R/Δs这个式子是没有物理意义的。
如果R不完全是垂直穿过矢量面元ΔS【数量为Δs】,和矢量面元的方向N具有一个角度θ,当空间点的位移R的条数n设定为1的时候,以上方程也可以用矢量点乘公式来表示。
A·ΔS = - a Δs cosθ = -
g kΔn
上式中a是引力场A的数量。
引力场A 是由大小和方向余弦两个量决定的。
大小是指光速运动空间位移R在高斯球面s上分布的密度(1/Δs)。
1/Δs或者Δn/Δs是含两个自变量的函数,随Δn和Δs变化而变化。
方向余弦是ΔS的法方向N和R的夹角θ的余弦,也就是cosθ。
方向余弦cosθ是只含一个自变量的函数,这个函数随θ变化而变化。
式a = 常数乘以Δn/s和A = - g kΔn(R/r)/Δs这两个式子的物理意义告诉我们,高斯球面s=4πr²其中一小块矢量面元ΔS上,垂直穿过空间矢量位移R【R = C t】的密度反映了该处的引力场强度。
我们将式A = - g k Δn(R/r)/Δs中的Δs用立体角Ω和高斯球面的半径r来表示,也就是Δs =
Ωr²。
A = - g k Δn(R/r)/ Ωr²
= - g k ΔnR/Ω r³

上图中,我们将高斯球面中的一小块矢量面元Δs用ds表示。则:
ds =
r dθ r sinθ dφ
= r² dθ sinθ dφ = r²dΩ
2,质量的定义方程
质量的本质是什么?质量和引力场是什么关系?
由于质量的概念起源于牛顿力学,我们把以上统一场论中引力场几何形式的定义方程A = - g k ΔnR/Ω r³,和牛顿力学引力场方程A
= - g m R/r³相比较,可以得出物体o点的质量定义方程应该是:
m = kΔn/Ω
微分式为:
m = k dn /dΩ
由于空间可以无限分割,所以,以上的n的微分,也就是dn 有意义的。
以上k是常数。对上式右边环绕积分,积分区域在0和4π之间,则:
m = k∮dn / ∮dΩ =k n /4π
上式的物理意义是:
o点的质量m表示周围立体角4π内分布有n条空间位移矢量R = C t。
以上m = k/dn /dΩ是质量的几何形式定义方程。
在很多种情况下,我们将n设定为1,可以得到质量的简化定义方程:
m = k /Ω
九,电荷和电场的定义方程
1,电荷的定义方程
在统一场论中,电荷和质量都是质点周围空间以光速、以圆柱状螺旋式向四周发散运动的运动效应,二者有一个共同的起源——空间的光速发散运动。
设想质点o相对于我们观察者静止,周围一个空间点p在0时刻,以圆柱状螺旋式离开o点运动,由o点指向p点的位矢为R,我们以R的数量r作一个高斯球面s=4πr²包围o点。
R的端点p因为是以圆柱状螺旋式运动,沿一条直线运动、又叠加了沿直线的垂直方向旋转运动,旋转的结果会在高斯面s上画出一个立体角Ω。
前面指出,o点带有质量m可以表示为:
m = k(1/Ω)
质量m表示包围o点的立体角4π内,穿过了n条光速运动空间位移矢量R,式m = k(1/Ω)是质量定义方程的简化,表示在单位立体角Ω上恰巧有一条R.。
在统一场论中,质点o如果带有电荷q,q表示单位时间里、单位立体角上穿过的R的条数。也就是质量m随时间t变化的变化程度就是电荷,所以,有电荷的定义方程:
q = k’dm/dt = - k’k (dΩ/dt)/ Ω²
式中k’为常数。
以上就是电荷的微分定义方程,也可以认为是电荷的几何形式定义方程。
这个电荷定义方程,反映了电荷的大小与质点周围空间旋转运动立体角的角速度有关。
由于Ω是立体角,4π是其中一个最重要的取值,这个是电荷量子化的根本原因。(dΩ/dt)的变化是角度的变化,变化呈现往复性,所以,时间t的变化呈现周期性。
从这个定义式可以看出,电荷的本质与空间的旋转频率密切相关。
这里对电荷的定义,一部分是推理,就是说电荷是物体粒子周围空间以圆柱状螺旋式向四周光速发散运动的运动程度,一部分是假设。
我们得到这个电荷定义方程,看看和我们掌握的知识是非吻合,如果全部吻合,表明这个电荷的定义方程是正确可靠的。
这个电荷定义方程,只能适用于单个电荷,对于宏观物体,里面许多正负电荷粒子,是不能直接运用的,因为宏观物体的电荷大部分正负相互抵消了。
2,证明电荷的相对论不变性
相对论中,电荷是不随运动速度变化的,但是,相对论没有证明。下面我们用电荷定义方程给出证明。
当物体粒子o点相对于我们观察者静止时候,带有电荷q,由以上电荷和质量的关系方程:
q = k’dm/dt
我们很容易看出,当o点相对于我们观察者以速度v运动的时候,质量m和时间t同步增大一个相对论因子√(1-
v²/c²),所以,q仍然不变。
3,电荷定义的一些问题
电荷q的定义式中的dm/dt,表示出粒子的电荷量和粒子的质量率变化成正比,这个似乎与事实不相符,我们在实践中没有发现电荷粒子质量在剧烈的变化,也没有发现质量随着时间持续性的增大或者减少。
这种原因,可能是电荷粒子的质量变化是周期性变化,不是随着时间变化到无穷大。
而且,这种变化的频率可能极快,如同交流电那样,由于变化的频率很快,我们感觉不到、难以检测到变化。
以上质量定义方程m = k n/Ω中, k 是常数,单个物体粒子,在周围没有别的粒子靠近的情况下,空间运动位移的条数n按理不会变化,变化是立体角Ω的变化,而我们知道,立体角的变化是周期性的。
如果这种情况被证实,则量子力学中物质波,粒子具有波长、频率,很可能与这个有关。
4,电场的几何定义方程
相对于我们观察者静止的o点,带有电荷q,在周围空间p点处产生电场E,我们用高斯球面s =
4πr²包围o点,p为s上的一个考察点,由o指向p的位矢为R,这样,R的数量为r。
由库伦定理给出的电场定义方程E = q R/4πε。r³中,4π ε。是常数,我们不需要考虑,R是空间位移矢量,r是高斯球面半径,唯一我们不清楚的是电荷q表示了什么意思。
一旦我们搞清楚了电荷q的几何意义,我们也就是彻底搞清楚了电场E的几何意义,所以,我们把电荷q的定义方程
q = k’dm/dt = - k’k (dΩ/dt)/ Ω²
带入到E = q R/4πε。r³中,就给出了静电场E的几何定义方程:
E = - k’k (dΩ/dt) R/Ω²4πε。r³
电场表示为单位时间里空间位移R穿过高斯球面s,在s上分布的密度,比起质量就是多了时间因素。
合并上式中的常数,可以得到比较简洁的电场几何定义方程:
E = f (dΩ/dt) R/Ω²r³
5,解释库仑定律
库仑定律表述如下:
相对于我们观察者,真空中两个静止的点电荷q(电量为q)q’(电量为q’)之间的作用力F和它们的电量的乘积成正比,和他们之间距离r的平方成反比,作用力的方向在它们之间的连线上。
电荷有正有负,同号电荷相互排斥,异号电荷相互吸引。数学公式为:
F = (k q q’/r²)【R】= q q’R/4πε。r³
其中k为比例常数,ε。为真空中的介电常数 , R是由q指向q’的位矢,其数量为r,【R】是沿R的单位矢量。
由以上电荷、电场定义方程可知,电荷q在q’处产生的电场应该为
E = - k’k (dΩ/dt)R/Ω²4πε。r³
由于电荷q’ = k’k (dΩ’/dt’)/Ω’²在q附近的p点出现,使电荷q在p点的电场E发生了变化。
我们把这种场变化【由于场的本质是以圆柱状螺旋式运动空间,其实就是空间在运动变化】理解为q对q’的作用力,用E和q’的乘积来表示这种变化的效果,就有以上的库伦定理。
6, 正负电荷模型
统一场论中认定了粒子带有电荷是因为粒子周围空间本身时刻以圆柱状螺旋式运动造成的。
我们知道圆柱状螺旋式运动可以分解为旋转运动和旋转平面垂直方向直线运动。
粒子带有正电荷在周围产生正电场,是由于粒子周围空间直线运动部分相对于我们观察者以粒子为中心、以光速向四周发散运动,旋转部分以逆时针旋转,所造成的,并且满足右手螺旋。

粒子带有负电荷在周围产生负电场,是由于粒子周围空间直线运动部分相对于我们观察者,以光速从无限远处的向粒子汇聚而来,旋转部分也是逆时针,所造成的。同样满足右手螺旋。

带电粒子周围空间圆柱状螺旋式是粒子带电的原因,我们知道圆柱状螺旋式运动是旋转运动和旋转平面垂直方向直线运动的叠加,我们可以用右手定则来说明。
我们在正点电荷周围作许多由正电荷指向周围空间的射线,我们用右手握住其中任意一条射线,并且大拇指和射线方向一致,则四指环绕方向就是正点电荷周围空间的旋转方向。
我们在负点电荷周围作许多由任意空间指向负电荷的射线,我们用右手手握住其中任意一条射线,并且大拇指和射线方向一致,则四指环绕方向就是负点电荷周围空间的旋转方向。
正负电荷周围空间都是右手螺旋式空间。
面对我们观察者,正电荷周围空间是逆时针旋转的。
面对我们观察者,负电荷周围空间是顺时针旋转的。
以上给出的电场、电荷的定义方程,一部分是我们的假设,一部分是我们的逻辑推理。
这几个定义方程是不是可靠的,如果这个方程和我们已经掌握的知识全部符合,则这几个定义方程就是可靠的。
我们还要注意的一点是,以上的电场、电荷的定义方程不是绝对、唯一的,我们可以根据电、电场的本质,给出其他形式的定义方程。
十、磁场的定义方程
在统一场论中,磁场和电场不是同一种场,二者不能直接相互作用,不能直接叠加。
人类已经发现,带电粒子相对于我们观察者以匀速直线运动的时候,可以引起电场的变化,电场变化的部分我们可以认为就是磁场,也就是随速度变化的电场产生了磁场,统一场论继承这种看法。
统一场论给出的磁场B定义为:
设想在惯性参照系s’系里,一个相对于我们观察者静止的o点,质量为m’【以速度V运动时候为m】,带有电荷q,在周围空间p处产生了静电场E’ 【以速度V运动时候为E】,由o点指向p点的矢径为R’【以速度V运动时候为R】。
我们以R’的长度r’【以速度V运动时候为r】为半径作一个高斯面s’ = 4πr’²包围o点。
在惯性参照系s系里,当o点相对于我们以匀速度V沿x轴直线运动的时候,可以引起电场的变化,变化的部分我们可以认为就是磁场B。
很简单的想法是运动电场E乘以速度V就是磁场B ,由于速度V和电场E相互垂直时候,产生的磁场最大,因而它们之间是矢量叉乘,所以有以下关系,
B = 常数乘以(V×E)
为了得到运动电场E的几何形式方程,我们把由库伦定理得到的静电场定义方程E’= q R’/4πε。r’³,利用洛伦兹正变换【因为电荷o点相对于我们观察者在运动】进行修正,可以得到:
E =γq [( x-vt)i+ yj+zk]}/ 4πε。{√[γ²(x-vt)²+y²+z²]}³
所以:
V×E =
γq V×[( x- vt)i+
yj+zk]/4πε。{√[γ²(x-vt)²+y²+z²]}³
令真空磁导率为μ。,因为我们这里讨论的是在真空情况下,则:
B =μ。{γq V×[( x- vt)i+ yj+zk]}/4π{√[γ²(x-vt)²+y²+z²]}³
=μ。ε。{γq V×[( x- vt)i+ yj+zk]}/
4πε。{√[γ²(x-vt)²+y²+z²]}³
=μ。ε。V×E
由于μ。ε。= 1/c²
所以,上式也是可以写成B = V×E/c²
所以,磁场的定义方程为:
B =μ。{γq V×[( x- vt)i+ yj+zk]}/4π{√[γ²(x-vt)²+y²+z²]}³
上式中,人类以前一直不清楚电荷q是什么,现在我们一旦清楚了电荷q的几何形式,利用以上的电荷定义方程 q =
-kk’ (1/Ω²)dΩ/dt ,可以得到磁场的几何形式定义方程:
B =μ。{γ[-kk’ (1/Ω²)dΩ/dt] V×[( x- vt)i+ yj+zk]}/4π{√[γ²(x-vt)²+y²+z²]}³
令θ为矢径R【标量为r=√[γ²(x-vt)²+y²+z²]】和速度v之间的夹角,B可以表示为极坐标形式:
B=μ。{[-kk’ (1/Ω²)dΩ/dt]v sinθ/4πγ²r² [√(1- β ²sin²θ)] ³}【r】
式中的β=v/c,
c是光速,v是V的标量形式,【r】是矢量R(标量为r)的单位矢量。
利用质量和电荷之间的关系q =k’dm/dt,可以得到含质量的磁场定义方程:
B =μ。{γ(k’dm/dt,)V×[( x- vt)i+
yj+zk]}/4π{√[γ²(x-vt)²+y²+z²]}³
十一,磁单极子不存在。
统一场论认为,一个相对于我们静止的带电粒子o点,在周围空间产生了静电场,当o点相对于我们观察者以速度V匀速直线运动,可以产生磁场,这个磁场的本质就是空间以矢量速度V为中心轴线在旋转。

在下图中,当o点从a点开始,以匀速圆周运动到b点的时候,空间的旋转运动在这个圆周的正反两个面上一进一出,进的一面是S极,出来的一面叫N极。

从磁场这种几何形式来看,自然界不存在有磁单极子的。
十二,速度乘以质量随时间变化率就是电磁场力
相对论和牛顿力学给出的动量公式P = mV和统一场论给出的动量公式P
= m(C-V)是不一样的。
统一场论的动力学方程:
F = dP/dt = (d/dt)m(C-V)
= Cdm/dt-Vdm/dt+mdC/dt-
mdV/dt
中,m是粒子的质量,C是矢量光速,V是粒子运动速度,t是时间。
上式中(C-V)dm/dt= Cdm/dt
-Vdm/dt是速度乘以质量随时间变化的力,简称加质量力。
统一场论认为其本质就是电磁场力,其中Cdm/dt是电场力,Vdm/dt是磁场力,
按照统一场论的看法,以上的o点静止在 s’里时候,具有静止质量m’,周围的空间以矢量光速度C’离开o点运动,带有电荷dm’/dt’【为什么可以这样表示,参阅前面的电荷定义方程】,如果受到了别的电荷的电场力的作用,受到的静电场力F静可以表示为:
F静 = C’dm’/dt’,
在s系里,当o点【运动质量为m】以速度V沿x轴运动的时候,周围空间以矢量光速C【C和C’的方向不一样】离开o点运动,沿V平行方向【也就是沿x轴方向】受到了电场力Fx动可以表示为:
Fx动 = Cx dm/dt,
数量式为:
fx动 = c
dm/dt ,
相应的,
Fx静= Cx’dm’/dt
’
数量式为:
fx静= c dm’/dt ’
由于光速c和电荷都不随速度V变化,也就是dm’/dt ’=
dm/dt ,所以,
Fx静= Fx动
c是C的标量,v是V的标量,f是力F的标量。C’x表示矢量光速C’在s’系里的x轴上, Cx表示矢量光速C在s系里的x轴上。
注意,t和t’是不一样的。C’和C方向不一样,但是,模都是标量光速c,并且c是不变的。
矢量光速C’和C如果在沿V垂直方向,受到了电场力:
在s’系里,
Fy静 = Cy’dm’/dt’
数量式为:
fy静 = c dm’/dt’
在s系里,
Fy动= Cy dm/dt,
由相对论速度变换,其数量式为:
fy动 = [c√(1-v²/ c²)]dm/dt
所以,有:
√(1-v²/ c²)Fy静 = Fy动
同样的理由可以得出:
√(1-v²/ c²)Fz静 = Fz动
以上结论和相对论电磁力的变换是一致的。
令o点的电荷为q,如果静电场表示为E’=F静/q = (C’dm’/dt’)/q
动电场表示为:
E=F动/q = (Cdm/dt)/q
当o点以匀速度V沿x轴正方向直线运动的时候,在x轴上,C和C’的数量是一样的,都是c,加上dm’/dt’和q是不变的,所以,
Ex=Ex’
在y轴和z轴上,C的数量是c√(1-v²/ c²),C’的数量是c,
所以,
Fy =(dm/dt )c√(1-v²/ c²)
=(dm/dt )c[√(1-v²/ c²)] [√(1-v²/ c²)]/[√(1-v²/ c²)]
=(dm/dt )c(1-v²/ c²)/√(1-v²/ c²)
如果认为Ey’=Fy静/q = (Cy’dm’/dt’)/q
是静电场E’在y轴上的分量,
Ey=(dm/dt )c/q √(1-v²/ c²)是运动电场E在y轴上的分量的话,则:
Ey’= Ey√(1-v²/ c²)
注意,(dm’/dt’ )c/q =(dm/dt )c/q
对Ez的分析,会得到同样的结果,这个结果和相对论的电场变换是一样的。
我们还可以看到,运动电场力在速度V的垂直方向可以写成;
F垂=(dm/dt )c(1-v²/ c²)/√(1-v²/ c²)
变成了两部分,一部分与速度V【数量为v】无关,一部分与速度V相关。
如果认为
(dm/dt )c/√(1-v²/ c²)
是电场力,与速度V【数量为v】相关的那部分力
(dm/dt )c(v²/ c²)/√(1-v²/ c²)
是磁场【用B表示】力,则E和B满足【用矢量表示】以下矢量叉乘关系:
B= V×E/c²
这个结果和相对论是一样的。
十三,推导出麦克斯韦方程组
麦克斯韦方程组4个方程可以描述出电磁现象所有的规律,但它不是最基本的。
利用电场、磁场的定义方程,场论中的高斯定理、斯托克斯定理,加相对论中的洛伦兹变换,可以推导出麦克斯韦4个方程。
1,静电场E’的旋度
对于静止电荷o点,带有电荷q,在周围产生的的静电场E’,用电场定义方程
E’ = f (dΩ/dt) R/Ω²r³
直接求旋度,得:
▽×E’ = 0
注意,式中右边仅R/r³是变量。
上式可以分解为以下三个等式:
∂Ez’/∂y’ - ∂Ey’/∂z’= 0
∂Ex’/∂ z’ - ∂Ez’/∂x’= 0
∂Ey’/∂ x’ - ∂Ex’/∂y’= 0
2,静电场E’的散度
对电场定义方程
E’= f (dΩ/dt) R/Ω²r³
直接求散度,注意式中右边仅R/r³是变量,得:
▽·E’ = 0
上式中的r是包围o点的高斯球面s的半径,在r趋近于零【也可以说高斯球面上的考察点——空间点p无限趋近于电荷o点】,且o点可以看成一个无限小的带电球体的情况下,式子出现了0/0的情况,利用狄拉克δ函数,可以得到:
▽·E’ = ∂Ex’/∂ x’+ ∂Ey’/∂y’+ ∂Ez’/∂z’= ρ’/ε。
ρ’是包围电荷o点的高斯球面s【s的体积非常小,无限接近于o点】内电荷的密度,ε。是真空介电常数。
我们需要注意的是,如果o点在高斯球面s外,s没有包围o点,其散度一直是零。
3,导出运动电场E的高斯定理
设想电荷o点静止在s’系里,带有的电荷q虽然是一个不变量,但是电荷q在s系中是以匀速度V沿x轴正方向直线运动,按照相对论的运动导致空间收缩,其体积要收缩到1/ γ【γ = 1/√(1 - v²/c²)为相对论因子】倍, 相应的q的电荷密度要增大到 γ倍。
所以,q在s系中密度ρ要比s’系中密度ρ增大一个相对论因子γ。
ρ = γρ’
电荷q在s系中是以匀速度V【标量为v】沿x轴正方向在直线运动,所以有电流密度:
J = i ρv = i γv ρ’
i是沿x轴的单位矢量。
由以上的准备,加以下的微分算符,可以使我们导出s系中运动电场E的高斯定理。
对洛伦兹正变换
x’=γ(x-vt)
y’= y
z’= z
t’=γ(t - vx/c²)
求偏导数【注意,对洛伦兹正变换式子的右边,我们只是取其中一个变量,由此得到的结果和全导数是不一样的】,可以得到以下【以后可能用到】的偏微分算符:
∂x’/ ∂x = γ
∂x’/ ∂y =
0
∂x’/ ∂z =
0
∂x’/ ∂t = -γv
∂y’/ ∂x =
0
∂y’/ ∂y =
1
∂y’/ ∂z =
0
∂y’/ ∂t =
0
∂z’/ ∂x =
0
∂z’/ ∂y =
0
∂z’/ ∂z =
1
∂z’/ ∂t =
0
∂t’/ ∂x = -γv/c²
∂t’/ ∂y =
0
∂t’/ ∂z =
0
∂t’/ ∂t = γ
利用以上的∂x’/ ∂x =γ,再由电场的相对论变换Ex = Ex’,Ey = γ Ey’,Ez = γ Ez’,以及静电场E’的散度:
▽•E’ = ∂Ex’/∂ x’ + ∂Ey’/∂y’ + ∂Ez’/∂z’ = ρ’/ε。
可以得出运动电场E的高斯定理:
▽•E = ∂Ex/∂ x + ∂Ey/∂y + ∂Ez/∂z
= γ(∂Ex’/∂
x’ + ∂Ey’/∂y’ +
∂Ez’/∂z’)
= γρ’/ε。=ρ/ε。
4,导出磁场的高斯定理
利用上面的微分算符 ∂/ ∂y = ∂/ ∂y’,∂/ ∂z = ∂/
∂z’,
由相对论中磁场B和电场E满足的关系:
Bx = 0,
By = - v Ez /c²,
Bz = v Ey’/c²,
加静电场E’的旋度的第一式
∂Ez’/∂y - ∂Ey ’/∂z’=
0
再加电场的相对论变换公式
γEz’= Ez,γEy’=
Ey,
可以导出磁场的高斯定理:
▽•B = ∂Bx/∂ x + ∂By/∂y + ∂Bz/∂z
= 0 + (-v Ez /c²)∂/∂y + (v Ey /c²)∂/∂z
= 0 +(-γv Ez’/c²)∂/∂y’+ (γv Ey’/c²)∂/∂z’
= -γ(v/c²)(∂Ez’/∂y’- ∂Ey ’/∂z’)= 0
5,导出法拉第电磁感应定理
由静电场E’的旋度第一式
(∂Ez’/∂y’)-(∂Ey’ /∂z’)= 0
由电场的相对论变换Ez’= Ez/γ,Ey’= Ey/γ,由以上的微分算符∂y = ∂y’,∂z= ∂z’ ,导出:
(Ez/γ)(∂/∂y)-(Ey/γ)(∂/∂z)
= (1/γ)((∂Ez/∂y)-(Ey/∂z)=0
所以,
∂Ez/∂ y - ∂Ey/∂z = 0
由静电场E’的旋度第二式
(∂Ex’/∂ z’)-(∂Ez’/∂x’)= 0,
由电场的相对论变换Ex’= Ex,Ez’= Ez/γ,再由以上的洛伦兹变换的偏微分算符∂z = ∂z’,γ/∂x’=1/∂x,导出:
∂Ex/∂z -(1/γ²)(∂Ez/∂x)=0
∂Ex/∂z -(1-v²/c²)(∂Ez/∂x)=0
∂Ex/∂z -(∂Ez/∂x)= -(v²/c²)(∂Ez/∂x)
由以上的微分算符∂x’/ ∂x =γ,∂x’/ ∂t = -γv,可以得到:
v/∂x= -
1/∂t
所以:
∂Ex/∂z-∂Ez/∂x =(v/c²)∂Ez/∂t
由磁场B和电场E满足的关系式Bx = 0,By =-v Ez /c²,Bz = v Ey’/c²,得到:
∂Ex/∂z-∂Ez/∂x = -By /∂t
由静电场E’的旋度第三式
∂Ey’/∂ x’- ∂Ex’/∂y’= 0,
由电场的相对论变换Ex’= Ex,Ey’= Ey/γ,再由以上的洛伦兹正变换的微分算符γ/∂x’=1/∂x,∂y=∂y’,
得到:
(1/γ²)∂Ey/∂ x-∂Ex/∂y=0
(1 - v²/c²)∂Ey/∂ x-∂Ex/∂y=0
∂Ey/∂ x-∂Ex/∂y =(v²/c²)∂Ey/∂ x
由v/∂x = -1/∂t
得到:
∂Ey/∂ x-∂Ex/∂y =-(v/c²)∂Ey/∂ t
由电场E和磁场B满足的关系中Bz = v Ey/c²,得到:
∂Ey/∂ x-∂Ex/∂y =-Bz/∂ t
由托克斯定理得出:
▽×E = ( ∂Ez/∂y-∂Ey/∂z) i+ ( ∂Ex/∂z-∂Ez/∂x) j + z ( ∂Ey/∂x-∂Ex/∂y) k
= 0 i - (∂By/∂t)j -(∂Bz/∂t)k
=-(∂Bx/∂t)i-(∂By/∂t)j-(∂Bz/∂t)k
= -∂B/∂t
6,导出电流和变化电场产生磁场
由电场E和磁场B满足的关系式
Bz = v Ey/c²,By = -v Ez/c²,加以上的微分算符,可以得出:
∂Bz/∂y -∂By/∂z = (∂/∂y)(v/c²)Ey -(∂/∂z)【-(v/c²)Ez】
= v/c²(∂Ey/∂y+ ∂Ez/∂z)
=μ。ε。 v(ρ/ε。-∂Ex/∂x)
注意,μ。ε。=1/c²,ρ是电荷o点在s系里电荷密度,这里用到了运动电场E的高斯定理
▽•E = ∂Ex/∂ x + ∂Ey/∂y + ∂Ez/∂z
=ρ/ε。
所以,
μ。ε。 v(ρ/ε。-∂Ex/∂x)
=μ。v ρ- μ。ε。v ∂Ex/∂x
矢量式可以写为:
μ。J + μ。ε。(∂Ex
/∂t)i
i为电场E沿x轴的单位矢量,J是电流。
由于Bx=0,Bz = v Ey/c²,所以:
∂Bx/∂z-∂Bz/∂x = -∂Bz/∂x
= -(v/c²)∂Ey/∂x
由v/∂x=-1/∂t,得到:
(1/c²)∂Ey/∂t = μ。ε。∂Ey/∂t
因为Bx=0,By = -v Ez/c²,所以:
∂By/∂x-∂Bx/∂y = ∂By/∂x = -(v/c²)∂Ez/∂x,
由v/∂x=-1/∂t,得到上式等于
( 1/c²)∂Ez/∂t = μ。ε。∂Ez/∂t
由斯托克斯定理,
▽×B = ( ∂Bz/∂y-∂By/∂z) i+ ( ∂Bx/∂z-∂Bz/∂x) j + z ( ∂By/∂x-∂Bx/∂y) k
= (μ。J +μ。ε。∂Ex /∂t) i+(μ。ε。∂Ey /∂t )j+ (μ。ε。∂Ez/∂t ) k
=μ。J +μ。ε。(∂E /∂t)
十四,磁场为什么同极相斥、异极相吸
人类发现,有的物体带有磁性,磁性物体在周围空间产生磁场,而磁场具有N极和S极。
两个磁体相互靠近的时候,同性相斥,异性相吸引?这个是什么原因呢?
磁场是电荷运动形成的,设想一个点电荷q以速度V沿坐标参考系s系的x轴正方向前进。
速度V能够引起V垂直方向的电场E的变化,电场变化的部分我们叫磁场B,人类发现B可以定义为:
B = E×V/c²
上式中c是光速,c²因为是常数,可以设定为1,是无关紧要的。
上式表示,B ,E,V满足叉乘关系,相互垂直的时候,B值为最大。

上图可以看出许多个像E的电场线,因为随着电荷运动速度V而变化,产生的磁场B有许多条,合在一起,是一个环绕状。所以,磁场是环绕形状的,如下图:

两个通电导线,电流方向相同,周围空间旋转方向相同,在相互接触地方,由于旋转方向相反而使空间量的减少,这样两根导线有相互接触趋势,表现为相互吸引。
如下图:

如果两个导线电流方向相反,周围空间的旋转在相互接触部分,因为运动方向相同,这样两个导线之间空间量增加,有相互离开的趋势,表现为相互排斥。
当我们将导线弯曲成圆周,磁场的旋转从这个圆周的一面进去,从圆周的反面出来,进去的一面叫S极,出来的一面叫N极。

N极和S极的相互吸引,原因是以上空间旋转方向相反而抵消,空间因为抵消而减少,空间距离的减少表现为相互吸引。
N极对N极的排斥,S极对S极的排斥,原因就是以上空间旋转方向相同使空间量增加,而表现为相互排斥。

十五,正负电荷为什么能够相互抵消
物体粒子带有电荷、电场,是因为物体周围空间以圆柱状螺旋式运动形成的。
注意,是空间本身的运动,不是说别的东西在运动。
这种圆柱状螺旋式运动,在物体粒子周围不是只有一条,而是分布了很多条,以物体粒子为中心,以矢量光速向四周均匀发散运动。
我们知道,圆柱状螺旋式运动,是平面旋转运动和垂直方向直线运动的合成。相应的有旋转运动方向和直线运动方向。
正电荷周围空间的直线运动部分是向四周发散的,径向速度是矢量光速。

负电荷周围空间是从无限远处向负电荷汇聚,径向速度也是矢量光速。

无论是正电荷还是负电荷,周围的圆柱状螺旋式运动,都满足右手螺旋。
就是我们用右手握住这个圆柱状螺旋,四指环绕方向和圆柱状螺旋式旋转方向一致,则大拇指指向和圆柱状螺旋式中直线方向一致。
既然电荷是物体粒子周围空间圆柱状螺旋式运动形成的,我们能不能用一个圆柱状螺旋式运动模型来解释电荷所有的规律?答案是肯定的。
我们还有一个问题:
等量的静止正电荷和负电荷靠在一起,周围空间的运动量会相互抵消为零,这个可以用数学严格证明吗?
答案是可以的,证明和磁场的高斯定理类似。就是用一个微小曲面dS去截空间圆柱状螺旋式运动的矢量位移线,在一个有限的、大小确定的曲面上,有多少条空间位移线进去,就一定会有多少条空间位移线出来,二者相互抵消为零。把dS遍及包围物体粒子的高斯球面全部积分,总结果是零。
等量的正电荷和负电荷碰到一起,为什么电荷会相互抵消为零?

上图中,带等量的+电荷和﹣电荷靠近,电荷周围空间的圆柱状螺旋式运动,径向部分以光速从正电荷出发,运动到负电荷结束,空间的旋转部分,也是从正电荷出发,运动到负电荷结束。
旋转部分相互接触的地方,由于方向相反而相互抵消。这样正电荷和负之间的空间量在减少,有相互接触的趋势,表现为相互吸引。
一旦正电荷和负电荷极为接近,等同于一个点,周围的直线运动由于方向相反而相互抵消,旋转运动也由于方向相反而相互抵消。
这个就是等量正电荷、负电荷碰到一起,周围空间运动效应消失,电荷【包括静止质量】能够相互抵消的原因。
两个电荷的相互离开和相互靠近,取决于空间圆柱状螺旋式的旋转部分,因为径向方向的运动速度是光速,按照相对论,光速运动的空间缩短为零,或者说已经不属于我们所在的空间了。

上图是两个带等量正电荷相互靠近,由于空间的旋转部分【注意,每一条电场线都带有旋转,电场线实际上是圆柱状螺旋式的,上图为了简洁,没有全部画出来】靠在一起的地方,运动方向是相同的,而使空间量加大。
这样两个正电荷之间的空间量在增加,有相互离开的趋势,表现为相互排斥。

上图是两个带等量的负电荷靠近,由于空间的旋转部分靠在一起的地方,运动方向是相同的,而使空间量加大。这样两个负电荷之间的空间量在增加,有相互离开的趋势,表现为相互排斥。
一个正电子和一个负电子,带着相同的电量,相互碰到一起,会使电荷相互抵消,而激发为光子,这种原因形成的光子是这样的一种模型:

就是两个电子,始终保持着直线对称状态,共同绕一个轴心旋转,并且沿轴心的运动速度是光速。如上图。
光子的运动也是右手螺旋式。
第四章,张祥前的数学理论
目录
一,外星人的一个数学分支---趋势分析
二,用趋势分析证明哥德巴赫猜想
三,费尔马大数定理的最简单证明
四,求证,任何两个不相等的素数相除,如果能够除尽的话,除数只能是2和5
一,外星人的一个数学分支---趋势分析
外星人有一个很重要的数学分支-----“趋势分析”。
我们地球上最重要的数学工具是微积分,他们主要用“趋势分析”。趋势分析部分内容和微积分是重叠的,涵盖了微积分所有的内容,但也有不同的部分。
他们的“趋势分析”主要是用严格手段定性、定量的来分析事
物发展、演化的趋势,从而准确预测结果。
趋势分析的定义是:
为了预测一个事件发展的结果
1,用相同、相似的、我们熟知的事件来类比。
2,把这个事件中某些参数放大、缩小,来做出判断。
3,用局部推测整体。用某一个空间区域去推测另一个空间区域,用某一个时间段推测另一个时间段。
我们知道,0是不能够作为除数,但是,我们在实践中经常会遇到除数是0的情况。
如果我们讨论0是怎么得到的,是从什么途径变成了0,我们用趋近于0来代替0,就可以解决这个问题,这个就是趋势分析一个重要的应用。
比如相对论中光速运动飞船的内部时空,光子的时空等,经常遇到这一类问题。
我们用几个实例,来说明一下。
1,问题:
我们知道,轴承主要是由钢珠和轴承套组成。制造轴承的时候,同样材料的情况下,我们来考虑:轴承中钢珠大一点和小一点,哪种情况下,轴承套磨损快?
这个问题乍一看,不好回答。
我们设想,把钢珠直径逐渐的缩小,钢珠直径逐渐缩小,就变得像刀尖一样,对轴承套磨损肯定厉害。所以,结论是:
钢珠小一点,对轴承套磨损大一些。
二,用趋势分析证明哥德巴赫猜想
哥德巴赫猜想猜想的命题是:大于或者等于4的偶数都可以表示两个素数之和。
对于一个偶数K , 我们把所有大于2 小于K的素数和K相减,所得的结果有N个,这其中的结果有的可能是素数。
实验发现在K不是很大的情况下,这些素数可以组成n个素数对。这样,不同的K就有不同的n,我们认识到随着K值的增大,n也随着增大。
K值取10,可以表示成3+7, 5+5,有2个素数对,也就是n的值为2。
K值取30,可以表示成7+23,
11+19, 13+17, 有3个,也就是n为3。
K取100,n为6。
可以看出,在K值不是很大的时候,n随着K值的增加而增加,没有减少的情况出现。但是,增加的速度没有K增加的速度快。
下面,我们借助几何图形来分析n和K的值在越来越大的时候的变化趋势。
在下图中,

n(K)那条线,n随着K的增大而增大,但没有K增大的速度快,不过,始终是在增大着,随着K值的增大,离n =1那一条线是越来越远,永远也不会靠近n=1这条线。这个就意味着K值比较大的时候,n永远也不会小于1的,K至少有一对素数和,这个就证明了哥德巴赫猜想是正确的。
K 和n关系类似与一条抛物线,有可能当K趋向于无穷大的时候K
= n²,但是,如果这个是正确的,其证明难度可能比哥德巴赫猜想更大。
3,用趋势分析求空间曲线的直角拐点。
求二维平面上抛物线的在第一象限内的直角拐点方程,并求出拐点坐标。
在下图中,有y = x²,y = x ³,y= x⁴ ·····等一系列抛物线。当y=x的n次方,n越大,抛物线就越靠近点(0,1),我们猜测当n =∞时候,抛物线就和点(0,1)重合了,显然,点(0,1)就是抛物线y= x的无穷大次方的拐点,这个拐点坐标就是(0,1)。
我们用趋势分析来严格证明这个猜测。
在下图中,抛物线y= x的无穷大次方中x的值取1,y等于1,如果x取小于1,哪怕只是比1微微的小一点点,y = 0。

如果x取大于1,哪怕只是比1微微的大一点点,y = ∞。
这样,对于x的取小于1的每一个值,都是y=0
对于x的取大于1的每一个值,都是y=∞
这样,可以断定抛物线y= x的无穷大次方直角拐点坐标就在(0,1)上。
用同样的方法,可以求出圆方程x²+y² =1中,当2换成∞ ,这个圆就变成了一个正方形,并且,圆的直角拐点方程为:
x∞+y∞ =1
其4个拐点分别是(1, 1)、(﹣1, 1)、(1,﹣1)、(﹣1,﹣1)。
用以上方法可以求出椭圆、双曲线、正弦线、余弦线等等各种曲线的直角拐点方程。
曲线的直角拐点方程,是空间连续过渡到不连续的表现,很显然,在直角拐点处,空间是不连续的。
探讨空间曲线的直角拐点方程,如果和物理学结合起来,具有惊人的价值。
这里只是简单介绍一下“趋势分析”,离外星人真正的数学分支----“趋势分析”是十万八千里,但是,可以起到抛砖引玉的作用,希望更多的人关注趋势分析,希望趋势分析成为地球上一个重要的数学分支。
外星人的趋势分析加上他们的空间信息场论【基本思想是宇宙任意一处空间可以包含这个宇宙以前、现在、以后所有的信息】,可以对空间中隐藏的以前、以后的信息进行解读、破译。其作用可以对未来进行预言,破译空间中隐藏的以前、以后的信息。
比如,在我们地球上,可以从空间信息场中获得我们唐朝、宋朝的视频资料。
趋势分析这种数学分支如果被建立,可以在灾害天气控制、经济预测、预测新型病毒流行、股票预测、大数字等领域发挥作用。
三,费尔马大定理的简洁证明
费尔马大定理的命题为:
方程“a的n次方 + b的n次方 = c的n次方”在 a,b,c,n都是非零正整数的情况下,n的值只能是1和2 。
下面给出证明。
n取1的话,a,b,c可以为正整数无须证明。
现在我们把n取一个大于1的固定正整数,让a和b各自从1开始,到2,再到3,再到4,再到5·····这样以正整数逐步增大。
我们发现c的值按照费尔马方程【我们将费尔马方程定义为(定义1):a的n次方 + b的n次方 = c的n次方,其中a,b,c,n都是非零正整数,n>1】的对应法则,随着a,b的增大而增大,c的值(还不是正整数之前)全部都是一系列正整数的n分之1次方的无理数【结论1】。
并且,c值不能小于2【结论2,证明:因为a和b最小的值是1】
c 的值随着a,b的增大而增大,在K范围内,假如我们突然发现c 的值出现了一个是正整数【我们把这个数叫费尔马数,费尔马数定义为(定义2):方程“a的n次方 + b的n次方 = c的n次方”中[ a,b,c,n都是非零正整数,n>1]c的值】。
以上的K大于或者等于c的n次方。
这个时候c大于a和b,而小于a+b,c,a,b又都是正整数,所以,数轴c,a,b我们可以用一个三角形P来表示。
令θ为a,b之间的夹角,c是最大边,θ为最大角,这样θ大于60度。
按照勾股定理,如果θ等于90度,n的值是2【结论3】。
结论4:当n大于2时候,θ小于90度。理由如下:
当n越大的时候,a+b-c就越大,导致c比起a+b就越小,c所对应的角度θ就越小。
比如用5² = 3 ²+ 4 ²和(4.497····)³= 3³+4³相比较。
n等于2时候, a+b-c = 2, 当n等于3时候,a+b-c = 2.503·····
结论5:以上三角形的三个边a,b,c【c是最大边,a,b,c都是正整数】,c可以由a和b各自从1开始,到2,再到3,再到4,再到5·····按照三角形对应法则变化而得到。因为任何一个三角形都可以按照三角形对应法则变化形成。
结论6:按照前面分析,在K范围内,费尔马数c(参考定义2)可以按照费尔马方程(参考定义1)的对应法则,让a,b各自从1开始逐渐增大而得到;也可以按照三角形的对应法则c² = a ²+ b ² - 2ab cosθ,让a,b各自从1开始逐渐增大而得到。
由结论6推理出-----结论7:
在K范围内,费尔马方程对应法则包含在三角形三个边对应法则中【注意:逆定理“三角形三个边对应法则包含在费尔马方程对应法则中”未必成立,不过,证明费尔马定理不需要这个逆定理成立】。也就是说,三角形三个边对应法则包含了很多种对应法则,其中有一种对应法则和费尔马方程对应法则吻合。
由结论7推理出结论8:
在K范围内,按照费尔马方程对应法则得到的每一组数a,b,c【就是a,b各取一个数,按照费尔马方程对应法则得到c】,都可以用三角形三个边对应法则c² = a ²+ b ² - 2ab cosθ得到。
由于θ大于60度、小于或者等于90度,所以,2cosθ的值大于或者等于0而小于1【结论9】。
当费尔马方程在n大于1且a,b的值都取1的情况下,如果不违背结论8、结论2、结论1,参考结论9,2ab cosθ的值必须要等于0,按照结论3,n的值取2才有可能成立,但不能断定一定就成立,好在我们从实践中发现n = 2费尔马方程可以成立。【结论10】
证毕。
我们让a,b逐渐增大,如果用三角形三个边对应法则得到一系列c,c 的值可能是正整数开2次方的无理数、分数数开2次方的无理数,开2次方无理数再开2次方的数,而用费尔马方程对应法则得到的一系列c,c的值只能是正整数开n次方的无理数。
二者只有在n=2时候,才可以吻合。这样似乎也可以证明费尔马定理,但是,这种证明明显是太粗糙了。
有两个推论:
1,n大于2的时候,费尔马方程没有有理数解。
2,我们用尺子和圆规在平面上画不出开n(n为大于2的一个正整数)次方的无理数。这个也是费尔马大定理的几何实质。
四,求证,任何两个不相等的素数相除,如果能够除尽的话,除数只能是2和5
证明:
两个不相等的素数A和B相除,如果能够除尽的话,可以表示成
A÷B = 整数÷10-----n个零。
上式右边的分母只能分解出2和5两个素数。
证比。
第五章,揭秘光的本质
人类一开始认为光是微小粒子,代表人物就是牛顿,后来英国物理学家托马斯·杨的双缝干涉试验证明了光具有波动性,再后来,苏格兰物理学家的麦克斯韦指出,光是电磁波的一种,人类在这个时期,光的波动学说占据了主流。
在19世纪中后期至20世纪初,爱因斯坦发现的光电效应,表明光具有微粒子性,麦克斯韦光的波动学说受到了严重的挑战。
普朗克研究黑体辐射,认为物体以电磁波向外辐射能量是不连续的,爱因斯坦接受了普朗克思想,并基于光电效应提出光量子假说。
后来,德布罗意提出不仅是光,任何实物粒子(小到电子、质子,大到足球、太阳)都具有波粒二象性,并指出了波动的频率、波长与与微粒的能量、动量之间的关系。
E = hν,
p = h /λ。
至此,量子力学以波粒二象性概念为基础正式建立起来。
但是,这个结果让人很不满意,光为什么又是波又是粒子?光作为一种波为什么能够在没有介质的真空中传播?
我们知道声波就是依靠空气来传播的,在月球上,说话周围的人是听不到的。
这些问题,目前主流科学界无法解释。
统一场论的出现【百度 统一场论6版】,可以给出一种彻底的解释。
统一场论认为,匀速直线运动电荷产生均匀的磁场,加速运动的电荷可以产生变化的磁场。
而变化磁场又可以产生电场和正、反引力场,加速运动负电荷可以引起负电荷周围的电场和磁场发生变化。
统一场论中变化磁场产生电场、引力场的积分公式为:
∮[(dB/dt)·dS ] = - u∮A·dR’ + ∮E·dR
∮是环绕积分,积分范围是从0到2π,B是磁场,t是时间,d是微分号,S是矢量面元,A是引力场,u是常数, E是电场,R’和R都是曲面S的边缘曲线。
加速运动负电荷产生的反引力场,可以抵消电子自身的质量,可以使质量变成了零,质量只要变成了零,电荷同时也变为零。
因为,在统一场论中,宇宙一切物体,在相对于我们观察者静止情况下,周围空间都以光速向四周发散运动。
电荷和质量都是物体粒子周围空间以光速向外发散运动造成的。
当物体以光速相对于我们运动的时候,周围空间的本来的光速运动将归零,原因是光速不变,光速不能叠加。
物体周围空间光速运动消失了,就意味着质量和电荷消失,因为质量和电荷就是空间光速发散运动的一种运动效应。
反过来,我们可以说,宇宙中任何物体,只要使其质量变成零,就会处于一种激发态,一定突然以光速运动起来,并且,以后在没有外来因素的改变情况下,会一直以光速惯性运动下去。
电子从一个正常质量变成零,处于激发状态,需要一个固定的能量,少于这个能量电子无法处于激发态,无法以光速运动。
大于这个能量也是不可能的,以为一旦能量的数值达到了,电子就变成激发态以光速运动走了,你再想给电子加能量,就加不上了。
这个固定的能量,就是普朗克发现的辐射电磁波时候,辐射的能量总是一个最小单位的整数倍。
电磁辐射能量是不连续的的,就是以上的原因,这个也是量子力学中量子的根本解释。
以上就是光子形成的基本原理,外星人的飞碟其飞行原理和光子是一样的。
光子的飞行原理和枪子弹的飞行原理完全不一样。这种不一样,根本的区别是各自遵守的动量守恒不一样。
光子遵守的动量守恒是P = mC ,
上式中P是光子运动时候的动量,m是光子的运动质量,C是矢量光速。
在统一场论中,矢量光速方向可以变化,模c是标量光速,不能变化。
一个物体粒子相对于我们静止,具有静止动量P静= m’C’
当这个物体相对于我们以速度V运动的时候,运动动量为
P动 = m(C-V)
从上式中,我们可以看到,如果物体粒子运动速度V =
C,动量的速度部分C-V就等于零。
统一场论中的动量m(C-V)在数量上仍然是守恒的,C-V等于零就导致了m趋向于无穷大。
无穷大是我们不能接受的,这里还存在了另一种可能性。就是物体粒子的静止质量m’变成了零。
在统一场论中,静止动量m’C’的数量 m’c和运动动量m(C-V)的数量mc√(1 - v²/c²)相等。
m’c = mc√(1 - v²/c²)
上式除以标量光速c,结果就是相对论中的质速关系方程。
m’ = m√(1 - v²/c²)
从质速关系方程可以看出,当物体粒子以光速运动的时候,如果静止质量为零的时候,运动质量可以是一个适当的量,不会是无穷大。
而枪子弹的运动原理所遵守的动量守恒是P = mV,V是枪子弹的运动速度,m是枪子弹的质量。
在牛顿力学中,质量m是一个不变量,如果枪子弹处于一个系统中受力,动量发生变化,由于质量m在牛顿力学中是不变的,所以,动量的变化导致了枪子弹速度V发生变化,可以从0【枪子弹本来静止时候的速度】变化到一个确定的速度V。
光子和我们宏观看到的物体运动,都是遵守动量守恒的原因,只是光子遵守的动量是质量乘以矢量光速,而枪子弹遵守的动量是质量乘以普通运动速度。
光子的波动性是空间本身的波动,我们生活的空间时刻以光速运动,光子是静止在空间中,随空间一同运动。
宇宙一切物体,在相对于我们静止的情况下,周围空间总是以圆柱状螺旋式【圆柱状螺旋式是旋转运动和旋转中心直线运动的合成,其中直线运动部分是矢量光速】向四周发散运动,空间这种螺旋式运动还包含了波动,空间的波动是横波,波动速度就是光速。
人类所观察到运动,大部分都是物体在空间中运动和物体周围空间运动两种运动的合成。
比如,我们用牛顿力学中的动量mV和动力学方程F = mA来描述物体在空间中以速度V运动,或者以加速度A运动,为什么要带一个质量m?
在统一场论中,这个质量m就表示物体粒子周围以矢量光速运动的空间位移的条数,而空间时刻在波动。
这个就是量子力学中任何实物粒子(小到电子、质子,大到足球、太阳)都具有波粒二象性的背后原因。
普通物体的运动是在空间中运动和周围空间运动两种运动的合成。而光子只有在空间中运动,周围空间运动完全消失了。
在统一场论中,电磁波是加速运动电荷产生的扭曲电磁场,电荷因加速产生的扭曲电磁场的本质仍然是空间,这种扭曲电磁场按照统一场论,包含了反引力场。
只有当这个扭曲电磁场【包含了反引力场】扫到某些电子,使电子的质量和电荷消失,激发起来,以光速运动起来,这个才是光子。
所以,电磁波不等于光子。
但是,我们想设计实验,验证那些是纯粹的扭曲电磁场【本质仍然是空间】,其中没有包含电子,那些包含了电子,是不容易的。
因为我们用仪器接受加速电荷的扭曲电磁场,扭曲电磁场和仪器发生相互作用力,也能够使仪器接受到能量。
但是,我在这里设计一个特殊理想的实验,可以验证光子到底是什么。
设想,我们用一立方厘米的铜原子,制造一个线圈,利用这个线圈制成一个发电机,再连接一个100瓦灯泡。
我们用外力连着皮带,带动发电机旋转,只要旋转的速度足够快,产生电能就能够让这个100瓦灯泡持续发亮。
以可见光为例,一个光子的能量大约2~3个电子伏特,大约对应4乘以10的负19次方焦耳的能量。
100W的白炽灯,电光转换效率按10%来算,那么发光功率大约是10W,也就是说每秒钟辐射出10焦耳的光子能量,对应的光子数大约为2.5乘以10的19次方个。
而一立方厘米的铜,大约有2.45乘以10的21次方个电子。
按照这样计算,这个灯泡只能亮100秒,这个好像与实践不符。
这个实验难度不大,我希望有条件的网友去做这个实验。
这个灯泡如果能够持续的亮很多年,而且亮度丝毫不减,只能说明,我们人类看到的可见光,几乎都是扭曲电磁场而已,本质仍然是空间。
我们人类看见的光,不是由激发电子构成的,只是扭曲电磁场【本质仍然是空间】对我们眼球刺激的结果。
如果是这样的话,倒是对光的双缝干涉实验能够很好的解释。
光除了没有实物粒子的扭曲电磁场,应该包含了激发电子构成的光子,特别是频率很高的光子,里面很可能包含了激发电子。
由激发电子构成的光子模型,常见的应该有两种,
一,加速运动的负电荷产生的光子是单个激发电子的,以圆柱状螺旋式在运动。

正负电子相遇产生的光子是两个电子绕一个中心轴旋转,并且都是以旋转平面垂直方向以光速直线运动,也是一种圆柱状螺旋式运动。

由于我们地球人用光子观察光子,观察的时候会改变光子的形态,所以,人类一直到现在不能直接观察光子。
外星人用人工场扫描来观察者光子,人工场本质上是人工操纵空间,而空间可以无限分割,可以观察比光子还要小的物质,所以,可以清楚地观察到光子的模型。
如果我们地球人发明出人工场扫描,就可以验证我上面提到的两个常见的光子模型。
张祥前主要作品
《果克星球奇遇》

又名《安徽农民外星球一个月见闻》
《外星人的社会和日常生活情况》
包含了《介绍外星人的性爱》
《果克星的寄生人种》
《果克星人长什么样子》
《揭秘预言特异功能之谜》
包含了《揭秘预言家预言之谜》
《统一场论》
包含了《揭秘万有引力的本质》
《揭秘电荷、电磁场的本质》
《安徽传奇农民揭秘人体 生死 轮回 意识 灵魂之谜》
包含了《揭秘人的生死之谜》
《人死亡时候的感受》
《人痛苦的根源》
《介绍人的前世爱情》
《最新科学理论证明生命轮回的真实性》
《揭秘外星人飞碟之谜》
《物质和信息》
《时间、空间的本质与宇宙的核心秘密》
《安徽农民张祥前的简介》
《人性 美丑 智慧 愚昧 奴性》
《宗教 科学 哲学 文化 艺术》
《我们其实都是农民》
《一眼看透中国人的本质》
《张祥前的爱情小说》
《张祥前预言未来》
《秘闻 奇闻 诡异之事》
《揭秘国家起源之谜》
全部98元,想看的网友加微信18714815159如果咨询发邮件到张祥前的邮箱[email protected]